在設計中加入佈線是選用的。您可以建立沒有佈線的回路,因為 Revit 會維護與回路相關聯的智慧。
使用下列其中一種方法可以加入永久佈線:
「轉換為線」面板。在建立永久佈線之後,如果未選取回路,則仍可在視圖中看見佈線。
「電氣」面板上的加入線材工具,手動加入永久佈線。
您可以使用回路性質,以指定回路中使用的電線類型。請參閱回路性質。
將回路轉換為永久佈線
選取回路的佈線類型
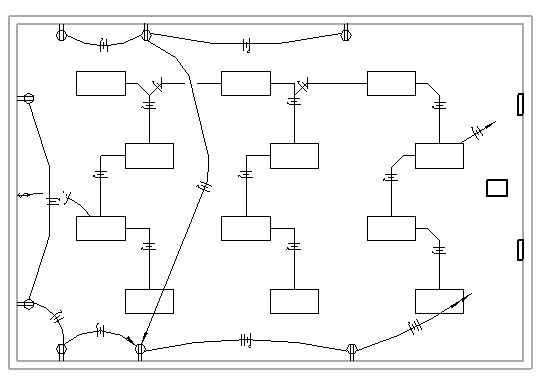
弧形佈線通常用來表示已隱蔽在牆、天花板或樓板內的佈線。
凹槽佈線通常用來表示無遮蔽的佈線。
在以下範例中,弧形佈線會連接插座,而凹槽佈線則會連接照明裝置。程式會自動加入回路以指出與配電盤的連接。
