Il faut vérifier les flèches de la poutre dans deux cas : charge de construction avec résistance non-composite, et flexion composite complète dans des conditions de charges d’exploitation. Si vous sélectionnez la contreflèche, celle-ci affecte également les résultats des calculs des flèches.
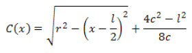
Si vous avez choisi d’utiliser la contreflèche, celle-ci est calculée avant les flèches. Elle est ensuite utilisée pour déterminer les véritables flèches dans des conditions de charges d’exploitation. Par défaut, la flèche due au poids propre est courbée à 80 %. Les valeurs minimales, maximales, ainsi que les valeurs de pas sont définies par l’utilisateur. Dans la mesure où les flèches peuvent être irrégulières et ne pas avoir leur maximum au centre de la poutre, la contreflèche peut être calculée en tout point le long de la poutre en supposant que la poutre est courbée en arc de cercle. Le rayon r de l’arc est déterminé par la quantité de contre utilisée « c » et la longueur de la poutre l :

puis la contre à tout excentrement « x » est déterminée par :

Lors de la construction, la rigidité (et par conséquent, la flèche) de la section ne provient que de la section acier non-composite. Pour chaque poutre, les flèches dues au poids propre de la plaque, au poids de la section acier et aux autres charges de construction sont calculées et comparées aux limites définies par l’utilisateur. La rigidité E et le moment d’inertie I de la section acier sont utilisés pour les calculs des flèches.
Si la poutre doit être courbée, cette contreflèche est calculée en premier. La flèche d’un point est définie comme la flèche de la poutre pour les charges données moins la contreflèche de ce point. Ces charges sont calculées dans des conditions de charges d’exploitation (c’est-à-dire, sans pondération). Les types de charges inclus dans ce calcul sont les suivants :
Les limites des flèches de construction peuvent être définies sur une valeur absolue (la valeur par défaut est 2 po) ou un rapport relatif (la valeur par défaut est L/500).
Les flèches de la poutre dans des conditions de charges d’exploitation sont évaluées selon deux critères :
Dans le cas de flèches dues aux charges d’exploitation, seules les flèches sous des charges d’exploitation sont calculées. La contreflèche n’est pas prise en compte dans ces calculs. Ce test sert à représenter le mouvement différentiel de la poutre pendant l’exploitation et est uniquement basé sur la rigidité et le moment d’inertie de la section composite (reportez-vous à la méthode de calcul de la rigidité des sections en béton ci-dessous). La flèche due aux charges d’exploitation est limitée par le montant absolu défini par l’utilisateur (la valeur par défaut est 2 po) ou par le montant relatif défini par l’utilisateur (la valeur par défaut est L/360).
Dans le cas de charges combinées, la flèche maximale est définie comme la flèche totale sous toutes les charges d’exploitation moins la contreflèche dans la poutre. Elle représente l’épaisseur de la poutre par rapport au trait d’axe en tout point sur sa longueur. Cependant, comme les flèches dues au poids propre se produisent lors d’une action non-composite alors que les flèches dues aux charges d’exploitation se produisent lors d’une action composite, la rigidité et l’inertie des poutres sont différentes pour chaque cas, et elles doivent être calculées séparément, puis ajoutées. Par conséquent, la flèche totale dans le cas de charges combinées est égale à la somme des flèches dues au poids propre (en utilisant I et E pour l’acier) plus les flèches dues à toutes les autres charges d’exploitation (en utilisant I et E pour la section composite) moins la contreflèche (basée sur un pourcentage des flèches dues au poids propre). La flèche combinée est limitée par un montant absolu (la valeur par défaut est 2 po) ou une quantité relative (la valeur par défaut est L/240).
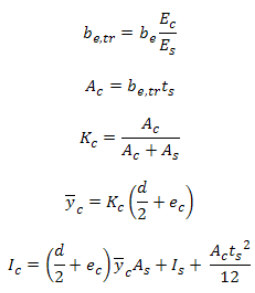
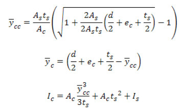
Les calculs des flèches dues aux charges d’exploitation nécessitent l’utilisation d’un moment d’inertie efficace basé sur les propriétés élastiques de la section composite. Les propriétés sont calculées en fonction de la géométrie de la section et le pourcentage d’action composite complète développé par les montants (pour une action composite partielle). Le fluage à long terme associé au béton est négligé dans le cadre de ces calculs.
La première étape consiste à déterminer si l’axe neutre élastique (E.N.A.) se trouve dans la plaque ou dans la section acier. Pour ce faire, il suffit d’effectuer les tests suivants. En fonction de la condition, le moment d’inertie transformé de la section composite élastique est calculé à l’aide de l’approche donnée dans Cheu (1996).
Si

E.N.A. est dans l’acierִ :

Si

E.N.A. est dans la plaque :

où :
E c /Es = n : rapport de rigidité modulaire

Y c : distance entre le centre de gravité de l’acier et l’axe neutre élastique
ec : distance entre l’aile supérieure en acier et le centre de gravité réel de l’aile en béton
Is : moment d’inertie de la section
Ic : moment d’inertie transformé de la section entièrement composite
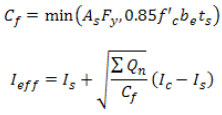
Le moment d’inertie effectif de la section partiellement composite, I eff (qui est utilisé pour tous les calculs de flèches dans des conditions de charges d’exploitation) est ensuite calculé à l’aide de l’équation C-I3-3 du commentaire de la norme ANSI/AISC 360-10, en fonction du rapport de la résistance du montant (
) à l’effort dans l’aile comprimée entièrement composite Cf:
