El proceso de cálculo del coeficiente K es el siguiente.
- El suelo bajo la cimentación se divide en bandas de 0,2 m de espesor. Si el espesor de la capa es menor que 0,2 m, se realizan cálculos para toda la capa. 
 
- Cada banda n se analiza en función de los valores calculados en la profundidad que es el centro de la zona Zn. 
 
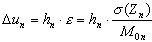
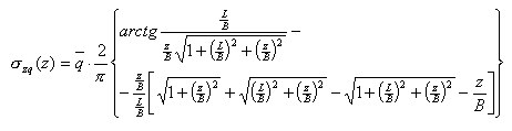
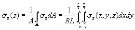
- Para la profundidad Zn, la tensión media causada por las cargas externas (el peso de una cimentación y el suelo superpuesto (σ(z)) bajo la cimentación, se determina a partir de la fórmula que se presenta a continuación. 
 
donde: 
 B: cota transversal de un rectángulo (cimentación) 
 L: cota longitudinal de un rectángulo (cimentación) 
 La fórmula anterior describe un valor medio de tensiones bajo un área rectangular. Se deriva de la fórmula de Boussinesque, que describe la distribución de las tensiones debidas a una carga de fuerza concentrada en un semiespacio elástico. 
 
 La aplicación del principio de superposición permite calcular la tensión en el punto P(0,0,z), resultante de una zona arbitraria cargada con una carga uniforme según el principio siguiente. 
 
 Las soluciones a las ecuaciones anteriores para los puntos de esquina del área rectangular, bajo el centro del área rectangular, así como para un valor medio bajo el área rectangular, se indican en la documentación. Para obtener un valor de las tensiones medias bajo el área rectangular, utilice la siguiente fórmula. Tras la integración, asume la forma aplicada en el algoritmo de cálculo. 
 
  
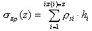
- Para la profundidad Zn, se determina la tensión original inducida por el suelo que se encuentra por encima de la banda analizada. 
 
Nota: Cuando hay aguas subterráneas, la presión de Arquímedes y el peso del agua se incluyen en los cálculos. 
  
- Las tensiones adicionales en el suelo, incluidas en los cálculos de hundimiento, son las tensiones causadas por la carga externa. 
 
 
- Los cálculos del hundimiento medio de la banda n se realizan a partir de las propiedades del suelo. 
 
donde: 
 M0n: el módulo de compresibilidad original (sin tener en cuenta los efectos de relajación) y edométrica (en el aparato de compresión triaxial) del suelo en la banda n-ésima. La relación entre el módulo de Young y el módulo de compresibilidad edométrica se expresa mediante la fórmula. 
 
 Nota: Cuando no se especifica un valor de la relación de Poisson para un tipo de suelo determinado. Las bases de datos de suelos de cada país pueden incluir los valores E = M, que corresponden a un material perfectamente compresible (ν = 0.0). Los valores típicos de la relación de Poisson equivalen a 0.,2÷0.3 en el caso de los suelos no cohesivos (el valor 0.2 se refiere a los suelos de grano grueso, como las gravas, mientras que el 0.3 se refiere a los suelos de grano fino, como los polvos) y 0.25÷0.37 en el caso de los suelos cohesivos (el valor 0.25 se refiere a los suelos altamente consolidados, mientras que el 0.37 a los suelos limosos). 
 El hundimiento total del suelo es la suma de los valores de hundimiento de las capas sucesivas. 
 
  
Los cálculos se realizan hasta alcanzar el nivel Zn: 
- Que no es inferior a 1 (m). 
 
- Para los cuales las tensiones debidas a la carga estimada representan menos del 25% de las tensiones causadas por el peso del suelo. 
 
- Para el que el incremento del hundimiento de las capas un en la siguiente capa es menor que 0.1% del total de la liquidación 
 
- Que no es superior a 10 (m). 
 
El coeficiente de rigidez calculado es K = 1 /. El coeficiente de rigidez K corresponde a la carga superficial unitaria.