このページでは、どのようにして一次膜応力(Pm)と一次曲げ応力(Pb)が計算されるのかについて説明します。
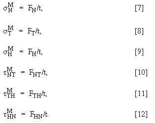
これらの応力の計算には複数のステップがあります。応力分類線(SCL)によって指定されたローカル座標系において、全体座標系の 6 つの応力テンソルを再計算することで開始します。次に、SCL に沿った 6 つの局部座標系の応力テンソル σN、σT、σH、τNT、τTH、τHN を積分して、総荷重(FN、FT、FH、FNT、FTH、FHN)を求めます。次の方程式を使用します。
ここで、T は SCL に沿った位置です。
次に、6 つの成分すべての膜応力(F/A)を計算します。長さ t の SCL の場合、次の方程式を使用します。
主膜応力(
)は、方程式 7 ~ 12 で成分が求められたテンソルにより得られます。これらの応力は、このテンソルを主軸方向で再計算することで得られます。
次に、全応力分布から膜応力を減算して、曲げ応力を求めます。これは、応力点ごとに行います。まず、長さ t の SCL に対するモーメント荷重分布を求めます。次に、モーメント荷重分布を積分して、断面上のモーメントを求めます。
これらの積分を台形積分で計算する必要があります。後続の結果を基にして、長さ t の SCL の曲げ応力(Mc/I)を計算します。
次のステップでは、SCL (
)の各端点の主応力を計算します。これらの主膜応力と主曲げ応力は、T = 節点 1 と T = 節点 2 を代入して成分が求められたテンソルにより得られます。
膜応力は方程式 7 ~ 12 で得られ、曲げ応力は方程式 16 ~ 18 で得られます。2 つの主応力(T = 節点 1 の主応力と T = 節点 2 の主応力)があることに注意してください。また、主応力はテンソルを主軸方向で再計算することで得られます。
この時点で取得したすべての主膜応力、
および、主膜応力と主曲げ応力の合計、
これらの値が、2 つの出力スカラー量の決定に必要です。
これらの 2 つのスカラー値は、最大せん断応力とフォン ミーゼス応力の 2 つの異なる組み合わせ方法に基づいて、計算および出力されます。次の表は、各値および計算方法に使用された方程式を一覧表示しています。
| 表 1: 各計算方法の Pm および(Pm + Pb)の方程式 | |||
|---|---|---|---|
| 最大せん断応力方法 | フォン ミーゼス応力方法 | ||
|
Pm = 次の方程式の最大値
|
[25] |
|
[27] |
|
(Pm + Pb) = 次の方程式の最大値
|
[26] * |
|
[28] * |
* 注: 2 つの値セット(T = 節点 1 の値と T = 節点 2 の値)があるため、方程式 26 と 28 はそれぞれ 2 回評価する必要があります。出力量は、最大結果値を持つ節点に基づいています。
最後に、どちらの応力の組み合わせ方法においても、一次曲げ応力の強度(Pb)は次の単純な差分方程式で計算されます。
Pb = (Pm + Pb) - Pm[29]
参考文献: ASME SGDA-99-2, PROPOSED NON-MANDATORY APPENDIX for Subcommittees III & VIII, Interpretation of Finite Element Analysis Stress Results, Rev 4, 2000.