SST k- ω乱流モデルは、多くの空気力学アプリケーションで使用される、2 方程式渦粘性モデルです。これは、Wilcox の k- ωモデルと k- εモデルを組み合わせたハイブリッド モデルです。ブレンド関数(F1)は、壁面近傍の Wilcox モデルと自由流の k- εモデルを有効にします。これにより、適切なモデルが流れ場全体にわたって使用されるようになります。
乱流運動エネルギー

固有の消失率

*F1 *(ブレンド関数)

CDkw

動渦粘性係数

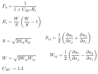
*F2 *(2 番目のブレンド関数)

P K (プロダクション リミッタ)

SST モデルの Smirnov-Mentor 回転/曲率フォームでは、積項「P」は関数によって乗算されます。

ここで、

そのほかの関数は次のように定義されます。

SST モデルの Hellsten 簡易回転/曲率フォームでは、破壊項は次の関数によって乗算されます。

ここで、

[アドバンスト乱流パラメータ]ダイアログ ボックスには、K- ωモデル用の追加オプションが含まれています。
[インテリジェント壁の定式化]は、壁に沿ったメッシュ細分割のレベルにまで結果の敏感性を緩和します。これは、SST k- ωでは既定で有効になります。
これらの項は、乱流強度と回転速度の境界条件の値を定義します。

L は、領域のおおよその長さです。
結果の自由流乱流粘性係数(これら 2 つの値の組み合わせ)は、10-5 ~ 10-2 に自由流層流粘性係数を乗じた値である必要があります。