As estruturas volumétricas no Robot são modeladas usando elementos finitos volumétricos isoparamétricos com aproximação de campo de deslocamento com base nas funções de forma de 1ª ordem.
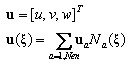
Os seguintes tipos de elementos estão disponíveis: tijolo B8, cunha W6 e tetraedro T4. As funções de forma e a numeração de nós relacionadas aos elementos de referência 3D são mostradas na tabela a seguir.
|
Elemento de referência |
Funções de forma |
|---|---|
|
|
|
|
|
|
A descrição da geometria do elemento, a avaliação de esforços, tensões, rigidez e matriz de massa, bem como o vetor de força do elemento para todos os tipos de elementos enumerados é executada da seguinte maneira:
Geometria do elemento
A geometria do elemento é baseada no mapeamento isoparamétrico de um elemento de referência em um elemento arbitrário

Campos de deslocamento dentro do elemento
Avaliação de esforço
Em que as matrizes B são definidas como:
Os derivados de função de forma em elementos de matriz B são definidos como:

Esforços (caso elástico)
Em que o são os esforços impostos (dilatação térmica e encolhimento) e D é uma matriz constitutiva. A matriz constitutiva D (material isotrópico linear elástico) é mostrada da seguinte maneira: