Cabos no Robot

A teoria dos elementos de cabo no Robot é baseada na teoria geral dos cabos com um pequeno valor de côncavo de cabo. De acordo com essa teoria, a rigidez do cabo é uma função implícita dos seguintes parâmetros: rigidez da tensão do cabo (E*F), tensão do cabo, deslocamentos do suporte do cabo e carga transversal em ambas as direções (p y , p z ).

Devido à não linearidade do elemento de cabo, sua definição na estrutura requer a aplicação de métodos iterativos de análise de estrutura.

Recursos de implementação de cabo no Robot:

Limitações:

Cargas de cabo

Os seguintes tipos de carga se aplicam aos elementos de cabo:

Os seguintes tipos de carga não se aplicam aos elementos de cabo:

SINTAXE (a ser inserida por um usuário em um arquivo de texto)

PROpriedades

(<lista de elementos>) CABos AX=<área da seção> (E=<módulo de Young>)

(RO=<peso da unidade>) [TENsão = <s> | FORça = <h> | COMprimento = <l>

| [ DILatação = <d> (RELativa) ]]

em que:

TENsão – Tensão normal (calculada em relação ao banzo) a ser obtida para o caso de carga de montagem.

FORça – Força de tensão (calculada em relação ao banzo) a ser obtida para os casos de carga da montagem.

COMprimento – Comprimento inicial do cabo.

DILatação – Diferença entre o comprimento inicial do cabo e a distância entre os nós de suporte. (Se for um valor positivo – o comprimento é maior que a distância entre os nós; se negativo – o comprimento é menor que a distância entre os nós).

DILatação RELativa – Proporção da diferença entre o comprimento inicial do cabo e a distância entre os nós de suporte para a distância entre os nós de suporte. (Se for um valor positivo – o comprimento é maior que a distância entre os nós; se negativo – o comprimento é menor que a distância entre os nós).

Nota:

Caso de carga de montagem

O Robot inclui o estágio de montagem da estrutura. É recomendado que esse seja o primeiro caso de carga. A sintaxe para tal caso de carga é a seguinte:

CASo

MONtagem

[descrição da carga]

Para este caso de carga:

Durante a análise de casos sucessivos de carga da estrutura no estado de equilíbrio, as cargas do caso de montagem aplicadas à estrutura são consideradas. Os deslocamentos atribuídos a esse caso são usados como base para análise adicional. As forças de tensão predefinidas são alteradas, o que significa que, após a montagem, o cabo é ancorado.

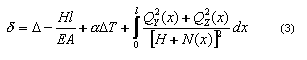
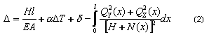
Equação de cabo para o estágio de montagem

Nesta etapa, a equação (1) descreve a transição de:

  1. Cabo sem carga (cabo no piso):

    q0x = q0y = q0z = 0 (sem carga)

    H0 = 0 (sem tensão de cabo)

    T0 = 0

    para o qual o comprimento é igual a L1= :

    1.

    longo, quando (long ≠ 0) – se o valor COMprimento for especificado numa definição de cabo

    2.

    [distância (A, B) + dilatação], quando a dilatação é definida em um sistema absoluto – se o valor DILatação for especificado em uma definição de cabo

    3.

    [distância (A, B)*(1+dilatação)], quando a dilatação é definida em um sistema relativo – se o valor DILatação RELativa for especificado em uma definição de cabo

    4.

    [distância (A, B)], quando (dilatação = 0) e (long = 0) – se não houver nenhuma palavra-chave como: COMprimento, DILatação ou DILatação RELativa em uma definição de cabo ou uma das seguintes palavras-chave: FORça ou TENsão existir.

    para

  2. cabo ancorado na estrutura com todas as cargas do primeiro caso de carga (montagem):

    L2 – Distância entre os nós de suporte A e B do cabo deformado:

    L2 = distância (A+U A , B+U B )

    em que:

    U A – Deslocamento do ponto A

    U B – Deslocamento do ponto B

    São possíveis várias situações para a primeira montagem de caso de carga:

    1. A força H é conhecida (controlada) – se TENsão ou FORça (tensão) não for igual a zero (TENsão≠0 ou FORça≠0). Então, a força de tensão é igual a:

      Na equação (1):

      O valor l é a distância entre o nó inicial e final do cabo.

      Na equação (2), é possível atribuir o alongamento inicial do cabo essencial para obter a força H necessária:

    2. A força de tensão H é desconhecida (nem os valores TENsão nem FORça são fornecidos na sintaxe do cabo) e:
      • Se os deslocamentos durante o estágio de montagem forem considerados (definidos inserindo os valores COMprimento, DILatação ou DILatação RELativa na sintaxe do cabo), ou seja,

        em seguida, resolvendo a equação (4) de acordo com a força H

        e, repetindo através do sistema de equações, o valor final da força de montagem será encontrado.

        É igual a:

        .

      • Se nenhum deslocamento nodal for considerado, isto é,

        L2 = comprimento (A, B)

        resolvendo a equação (4), o valor inicial da força necessária para a ancoragem de cabo entre os suportes será encontrado.

Casos de carga após a ancoragem

Após completar a análise da estrutura, os resultados para elementos de cabo são semelhantes aos obtidos para elementos de barra; no entanto, algumas diferenças permanecem. As diferenças incluem:

Equação de cabo durante o trabalho do cabo na estrutura

Quando um caso arbitrário (i) é definido após o primeiro caso de montagem, o comportamento do cabo é obtido solucionando a equação (1). A iteração de uma equação é executada de acordo com as seguintes suposições:

A carga do primeiro caso de carga é adicionada automaticamente à carga no caso (i).

A força de tensão H é tratada como uma quantidade desconhecida.

Consulte também:

Comentários práticos sobre cálculos de estruturas de cabos