The SST k-omega turbulence model is a two-equation eddy-viscosity model that is used for many aerodynamic applications. It is a hybrid model combining the Wilcox k-omega and the k-epsilon models. A blending function, F1, activates the Wilcox model near the wall and the k-epsilon model in the free stream. This ensures that the appropriate model is utilized throughout the flow field:
Turbulence Kinetic Energy

Specific Dissipation Rate

F1 (Blending Function)

CDkw

Kinematic eddy viscosity

F2 (second blending function)

P K(Production limiter)

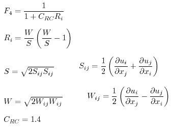
In the Smirnov-Mentor Rotation/Curvature form of the SST model, the production term, P, is multiplied by the function:

where:

The remaining functions are defined as:

In the Hellsten simplified Rotation/Curvature form of the SST model, the destruction term is multiplied by the following function:

where:

The Advanced Turbulence Parameters dialog contains additional options for the K-omega model:
The Intelligent Wall Formulation reduces the sensitivity of results to the level of mesh refinement along the wall. It is enabled by default for SST k-omega.
These terms define the boundary condition values for turbulence intensity and omega.

Note that L is the approximate domain length.
The resultant free-stream turbulent viscosity (from a combination of these two values) should be between 10-5 and 10-2 times the free-stream laminar viscosity.