The three-dimensional time-dependent continuity, Navier-Stokes and energy equations apply to laminar as well as turbulent flow. However, due to the infinite number of time and length scales inherent in turbulent flows, the solution of these equations require a huge number of finite elements (on the order of 10**6** to 10**8**) even for a simple geometry as well as nearly infinitesimally small time steps. For most practical applications, it is unreasonable to model the flow in this manner.
To circumvent the need for such immense computer resources, the governing pdes are averaged over the scales present. There are several choices of scale types available for averaging. Autodesk® CFD solves the time-averaged governing equations.
The time-averaged equations are obtained by assuming that the dependent variables can be represented as a superposition of a mean value and a fluctuating value, where the fluctuation is about the mean. For example, the x-velocity component can be written as:

where U is the mean velocity and u' is the fluctuation about that mean. This representation is substituted into the governing equations and the equations themselves are averaged over time. Using the notation that capital letters represent the mean values and lower case letters represent fluctuating values except for temperature, the averaged governing equations can be written as:
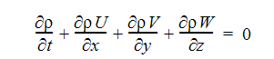
Continuity Equation

X-Momentum Equation

Y-Momentum Equation

Z-Momentum Equation

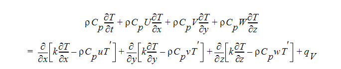
Energy Equation

Note that the averaging process has produced extra terms in the momentum and energy equations:
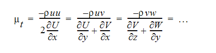
uu,
uv,
uw,
vv,
vw,
ww,
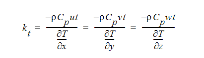
CpuT',
CpvT',
CpwT'. These terms are combinations of fluctuating quantities resulting from averaging the non-linear inertia or advection terms. The extra terms in the momentum equations are called the Reynolds stress terms.
With the addition of these extra terms, the above equations now represent 5 equations with 14 unknowns:
uu,
uv,
uw,
vv,
vw,
ww,
CpuT,
CpvT,
CpwT. Additional equations can be derived for these last 9 extra terms by taking moments of the above equations. However, the process of taking moments of these equations will introduce still more unknowns. This closure problem can continue ad infinitum. At some point, the decision must be made to stop creating equations (and thus new terms) and find a way to “model” the extra terms; i.e., relate these terms back to the previous unknowns. At the zeroth level of closure, the Reynolds stress terms are linked to the mean values of the dependent variables, U, V, W, T.
One zeroth level closure that is widely used is the Boussinesq approximation which defines an eddy viscosity and eddy conductivity:


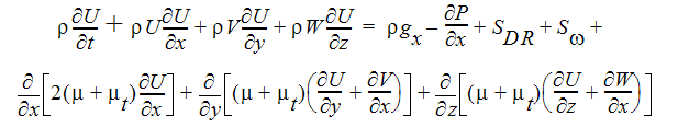
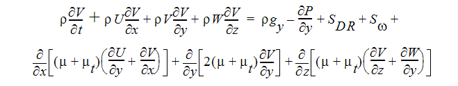
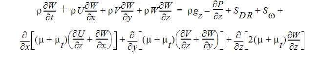
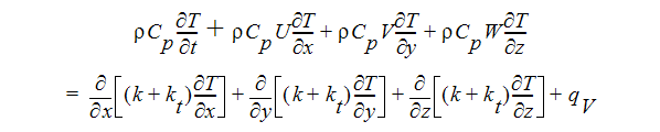
If these definitions are used in the averaged equations, the result is:
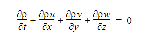
Continuity Equation

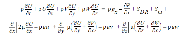
X-Momentum Equation

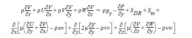
Y-Momentum Equation

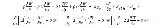
Z-Momentum Equation

Energy Equation

This leaves only the eddy viscosity and eddy conductivity to be determined.