Autodesk Civil 3D puede calcular valores a partir de la definición geométrica de un acuerdo vertical, información de VAV, así como la altura del objeto y del ojo.
Estos valores se derivan de ecuaciones empíricas y no utilizan la velocidad de proyecto.
En un acuerdo convexo, se utilizan las visibilidades de adelantamiento y parada ya que un pico de la curva puede obstruir la visión de un conductor de la superficie de la carretera u otro objeto.
Las visibilidades de adelantamiento y parada no se utilizan en un acuerdo cóncavo ya que no hay ningún pico de curva que obstruya la visión del conductor de la superficie de la carretera u otro objeto. A la luz del día, con buena visibilidad, el conductor dispone de visión total de la carretera en un acuerdo cóncavo. Durante la noche, sin embargo, el conductor únicamente puede ver hasta donde le permite la luz del faro. Para diseñar un acuerdo cóncavo, puede utilizar la visibilidad de iluminación.
Puede visualizar estas propiedades en Autodesk Civil 3D 2024 utilizando el Editor de componentes de texto. En el Espacio de herramientas, en la ficha Configuración, expanda Perfil
Estilos de etiqueta
Curva. Haga doble clic en el estilo de etiqueta Convexo y Cóncavo por defecto. Haga clic en la ficha Presentación. En Nombre de componente, seleccione un elemento como IAV. En el Editor de componentes de texto, haga clic en la flecha desplegable de Propiedades para mostrar la lista de propiedades disponibles. Desplácese hacia abajo para ver propiedades como Visibilidad de iluminación, Visibilidad de adelantamiento, etc.
La visibilidad de adelantamiento es la distancia necesaria para que un conductor vea un vehículo que se aproxima y determine si hay suficiente distancia para adelantar. La visibilidad de adelantamiento no se utiliza a menudo en el diseño de acuerdos convexos, ya que la longitud de curva necesaria para cumplir los criterios de visibilidad de adelantamiento suele ser prohibitiva.
La visibilidad de parada, un criterio muy utilizado para determinar la longitud de la curva, es la distancia necesaria para que un conductor vea un peligro en la superficie de la carretera. Los requisitos de visibilidad de adelantamiento y de parada se determinan en las normas gubernamentales.
Las siguientes ecuaciones calculan las longitudes de acuerdo convexo mediante la visibilidad de adelantamiento y de parada.
donde:
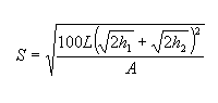
L = longitud del acuerdo vertical en pies (o metros)
S = visibilidad en pies (o metros)
A = diferencia algebraica en porcentaje (%) de pendiente
h1 = altura del ojo del conductor por encima de la superficie de la carretera en pies (o metros)
h2 = altura del objeto por encima de la superficie de la carretera en pies (o metros)
La siguiente ecuación resuelve L cuando S es menor que L:

La siguiente ecuación resuelve S cuando S es menor que L:

La siguiente ecuación resuelve L cuando S es mayor o igual que L:

La siguiente ecuación resuelve S cuando S es mayor o igual que L:

Durante la noche, la visibilidad la definen los faros del vehículo. Un acuerdo cóncavo intercepta un faro en la superficie de la carretera y limita la longitud de visibilidad. La visibilidad de iluminación mide la parte superior del faro por encima del pavimento y el ángulo máximo de iluminación para determinar la longitud de la curva. También se tiene en cuenta la altura del ojo del conductor.
Para crear acuerdos cóncavos se utilizan las siguientes ecuaciones de visibilidad de iluminación.
donde:
A = diferencia algebraica en porcentaje (%) de pendiente
hd = altura del faro por encima del pavimento en pies (o metros)
L = longitud del acuerdo vertical en pies (o metros)
S = visibilidad en pies (o metros)
Ø = ángulo de barrido hacia arriba con respecto a la horizontal (normalmente 1 grado)
La siguiente ecuación resuelve L cuando S es menor que L:

La siguiente ecuación resuelve S cuando S es menor que L:

La siguiente ecuación resuelve L cuando S es mayor o igual que L:

La siguiente ecuación resuelve S cuando S es mayor o igual que L:
