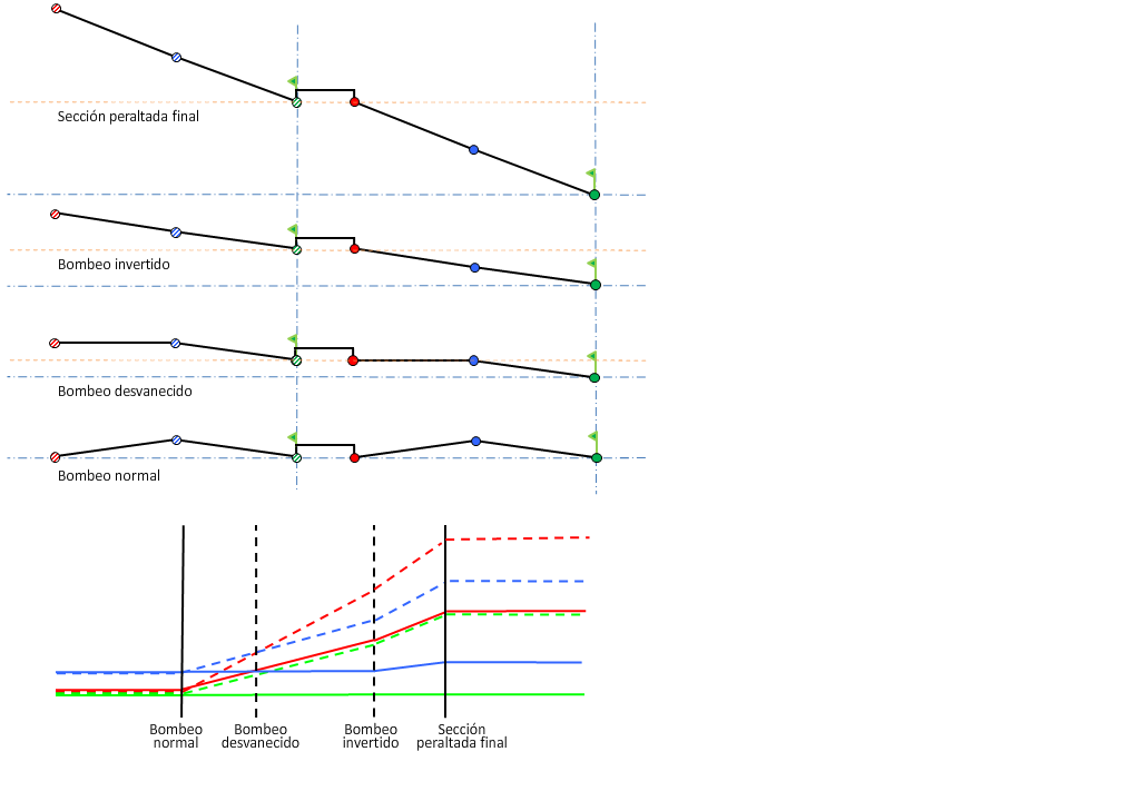
La ilustración siguiente describe el método de punto de giro dentro de la curva para una carretera de calzadas separadas con bombeo.
Mantener la forma de mediana significa que, al aplicarse el peralte, la mediana se eleva para alojar el peralte. Esta opción conserva la forma de la mediana y los puntos de giro
se elevan o bajan.
Para obtener más información sobre los diagramas de peralte, consulte Acerca de los métodos de giro del eje de rotación de peralte.
