Utilice este tipo de unión para dimensionar y verificar uniones de tubos de barras de acero con secciones de tubos redondos, cuadrados y rectangulares de acuerdo con las directrices del Eurocódigo 3: 2005.
Los cálculos de las uniones cubren los tipos de unión de tubos K, N, KT, T, Y y X. Puede utilizar perfiles en I como un cordón en la unión y puede utilizar refuerzos del cordón (pletinas horizontales, pletinas laterales) soldadas al cordón (como se muestra).

Conjunto de esfuerzos considerados durante los cálculos de la unión:
Los métodos aplicados para calcular la resistencia de las barras individuales de una unión se han desarrollado según las directrices siguientes:
Se ha supuesto que la comprobación de la resistencia de un nudo mediante la evaluación de la resistencia N Rdi mediante soldaduras de tope es equivalente a la comprobación de la resistencia de estas soldaduras. Por lo tanto, durante la verificación de soldaduras, se tratan como soldaduras de ángulo. La comprobación de la resistencia de soldadura se realiza de acuerdo con las directrices del Eurocódigo 3: 2005.
Se ha asumido que
la longitud de las soldaduras es igual a su longitud real.


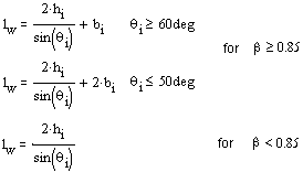
Si el tubo se encuentra con el elemento plano en un ángulo
Si los cordones están hechos de tubos rectangulares y cuadrados, se ha asumido que algunos segmentos de soldaduras no son efectivos.
En una unión en la que existe una distancia entre barras, se presupone que los segmentos longitudinales de las soldaduras (con respecto al eje de cuerda) son totalmente efectivos, mientras que la eficacia de los segmentos transversales difiere. El segmento 3 (soldadura interna) de la unión de barra inclinada participa en la transferencia de un esfuerzo desde una barra al segmento adyacente. El segmento 4 (soldadura externa) se excluye de la participación si hay ángulos de inclinación grandes.

Dimensionar secciones de soldaduras de ángulo:
a) sección de dimensionamiento de una soldadura para θ > 50 [grad]
a) sección de dimensionamiento de una soldadura para θ ≤ 50 [grad]
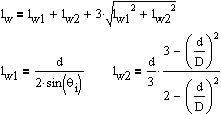
La longitud efectiva de las soldaduras en las uniones K y N es igual a:

El valor l4 del intervalo (50 grados, 60 grados) debe interpolarse linealmente.
En una unión en la que las barras se solapan, se presupone que las soldaduras se tienen en cuenta en los cuatro bordes de los tubos conectados, mientras que sus longitudes se calculan según las cotas reales de la unión.

Longitudes de soldadura iguales en las uniones K y N:

El procedimiento para calcular las tensiones en segmentos individuales de soldaduras es idéntico al de una unión con una distancia entre barras.
Consulte también:
El segmento 3 no es efectivo si los valores de b son pequeños.
Se presupone que la longitud de la soldadura es efectiva:
