In
, fare clic con il pulsante destro del mouse su
.
Sono disponibili due principali opzioni per gli elementi Shell: Standard e Laminato.
Elementi Shell Standard
- Spessore (t): uno spessore di elemento Shell che verrà distribuito in modo uniforme su entrambi i lati della superficie.
- MNS: nei calcoli verrà utilizzata una massa non strutturale per gli elementi Shell.
- Definizione del sistema di coordinate del materiale degli elementi Shell Quadrilateri:
- Geometria e sistema di coordinate degli elementi Shell Quadrilateri:
- Forze negli elementi Shell Quadrilateri:
- Momenti negli elementi Shell Quadrilateri:
- Sollecitazioni negli elementi Shell Quadrilateri:
- Definizione del sistema di coordinate del materiale degli elementi Shell Triangoli:
- Geometria e sistemi di coordinate degli elementi Shell Triangoli:
- Opzioni avanzate: consente di definire le seguenti proprietà aggiuntive per gli elementi Shell Standard.

- Ripristino sollecitazione: consente di definire le distanze di fibra superiore e inferiore per il calcolo della sollecitazione. Si basa sulla convenzione della mano destra. L'ordine in cui sono elencati i punti della griglia nella voce di collegamento determinano la direzione positiva.
- Distanza di offset dal piano medio: consente di definire la distanza di offset dalla superficie dei punti della griglia al piano di riferimento dell'elemento. Può essere visibile quando è attiva la visualizzazione della sezione trasversale.
- Utilizza tipo di elemento con deformazione del piano: consente di trasformare l'elemento Shell normale nel tipo di elemento con deformazione del piano. Quando questa casella di controllo è selezionata, le proprietà di flessione e membrana (come il rapporto tra spessore del taglio e membrana trasversale) e le proprietà del rispettivo materiale sono disabilitate, poiché non sono applicabili.
- Includi GDL foratura (CQUADR/CTRIAR): quando questa opzione NON è attivata, gli elementi Shell supportano cinque gradi di libertà (GDL); tre traslazioni e rotazioni intorno a due assi in flessione nel piano (distorsione alla flessione). Il GDL rotazionale intorno all'asse perpendicolare (foratura) non è supportato direttamente. Tuttavia, è inclusa una certa rigidità (come definita dal parametro K6ROT).
Attivare l'opzione Includi GDL foratura (CQUADR/CTRIAR) se si desidera considerare direttamente le rotazioni nodali normali o se è necessario trasmettere i momenti intorno all'asse perpendicolare al piano dell'elemento. I momenti nodali normali producono traslazioni nel piano dei nodi di angolo e mediani. L'effetto è in genere più preciso quando si include il GDL di foratura. Questa opzione deve essere specificata quando:
- Gli elementi Shell curvi vengono modellati
- Gli elementi trave, barra o asta vengono associati agli elementi Shell
- Gli elementi rigidi vengono utilizzati con elementi Shell e con tutti e sei i gradi di libertà resi dipendenti
È necessario rispettare le seguenti linee guida quando si utilizza l'opzione Includi GDL foratura (CQUADR/CTRIAR ):
- Per almeno un punto griglia nel modello il grado di libertà della foratura deve essere vincolato, il che non si applica per i gradi di libertà della flessione. L'utente deve prendere in considerazione il GDL di foratura quando si applicano le condizioni del contorno. In altre parole, se si prevede che un bordo rimanga diritto, è necessario vincolare il GDL di foratura. Questa opzione è valida anche per i carichi bordo.
- Non sovravincolare il grado di libertà della foratura, ovvero non vincolare tutti i GDL di foratura nel modello.
Elementi Shell Laminato

- L'opzione Laminato consente di definire una proprietà laminato composita. Fare clic sul pulsante Nuovo laminato. Viene visualizzata la finestra di dialogo Laminato.
- In Opzioni foglio sono disponibili le seguenti opzioni:
- Aggiungi: consente di aggiungere il foglio.
- Materiale: consente di definire un nuovo materiale.
- Foglio globale: consente di definire il foglio globale come illustrato nell'immagine seguente.
- Su: consente di spostare il foglio selezionato di una posizione verso l'alto.
- Giù: consente di spostare il foglio selezionato di una posizione verso il basso.
- Simm: consente di creare la simmetria del foglio o dei fogli selezionati.
- AntiSimm: consente di creare l'antisimmetria del foglio o dei fogli selezionati.
- Annulla: consente di annullare l'operazione eseguita.
- Ripeti: consente di ripetere l'operazione eseguita.
- Elimina: consente di eliminare il foglio o i fogli selezionati.
- Taglia: consente di tagliare il foglio o i fogli selezionati.
- Copia: consente di copiare il foglio o i fogli selezionati.
- Incolla: consente di incollare il foglio o i fogli tagliati o copiati.
- Importa: consente di importare i dettagli dei fogli in formato CSV.
- Esporta: consente di esportare i dettagli dei fogli in formato CSV.
- Ripeti: consente di creare un foglio multiplo per il foglio o i fogli selezionati.
- Usa foglio globale: consente di abilitare la colonna del foglio globale.
- Layup: consente di invertire i fogli da Layup inferiore a Layup superiore. I fogli vengono invertiti visivamente. L'esportazione del file Nastran viene effettuata sempre in formato di layup inferiore.
- In Opzioni foglio fare clic su Aggiungi per iniziare la definizione del primo foglio. Questo foglio sarà quello posizionato più in basso nel layup.
- ID foglio: ogni foglio (layer) del foglio composito ha un ID univoco. Questi ID vengono generati automaticamente da Inventor Nastran man mano che vengono creati in questa finestra di dialogo. Non possono essere cambiati.
- Materiale: ogni foglio può avere un materiale diverso. Per scegliere un materiale dal menu a discesa, è necessario che sia predefinito in Materiali.
- Spessore: ogni foglio può avere il proprio valore di spessore.
- Angolo: questo è l'angolo di orientamento del foglio. L'angolo viene misurato rispetto all'angolo di orientamento del materiale. Un foglio con angolo zero corrisponde all'allineamento con l'orientamento del materiale.
- Sollecitazione/Deformazione: consente di controllare l'output della sollecitazione su ogni foglio impostando ATTIVO oppure DISATTIVO.
-
Proprietà laminato:
- Opzioni laminato: consente di definire diverse forme di laminati come SYM, HCS, FCS, ACS, SME o SMC.
- Se LAM = SYM, vengono specificati solo i fogli su un lato della linea centrale dell'elemento. I fogli vengono numerati a partire da 1 per il layer inferiore. Se si desidera un numero dispari di fogli con LAM = SYM, lo spessore (Ti) del foglio centrale deve corrispondere alla metà dello spessore effettivo.
- Se LAM = HCS, LAM = FCS o LAM = ACS, viene definito un sandwich composito per l'output dell'indice di stabilità delle facce esterne. HCS specifica un materiale interno a nido d'ape, FCS specifica come materiale interno la schiuma e ACS seleziona HCS o FCS in base al materiale interno specificato.
- Se LAM = SME, gli effetti dei fogli sono sfumati e la sequenza di impilaggio viene ignorata. Se LAM = SMC, viene definito un sandwich composito con proprietà ortotrope equivalenti.
- Teoria dell'errore: teoria dell'errore dei fogli. Sono consentite le teorie seguenti. Se il campo viene lasciato vuoto, non viene eseguito alcun calcolo di errore. Hill è l'impostazione di default della teoria dell'errore.
- HILL per la teoria Hill.
Materiali ortotropi con resistenze uguali a tensione e compressione.
- HOFF per la teoria Hoffman.
Materiali ortotropi in uno stato generale di sollecitazione piana con resistenze diverse a trazione e compressione.
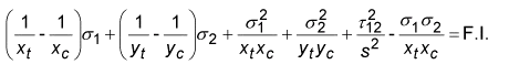
- TSAI per la teoria Tsai-Wu.
Materiali ortotropi in uno stato generale di sollecitazione piana con resistenze diverse per trazione e compressione.
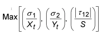
- Sollecitazione massima per la teoria della sollecitazione massima.
- Deformazione massima per la teoria della deformazione massima.
- LARC02 per la teoria NASA LaRC.
Materiali ortotropi composti da fogli unidirezionali in uno stato generale di sollecitazione piana. Per ulteriori informazioni, consultare il Manuale dell'utente di Autodesk Nastran, riferimento 5.
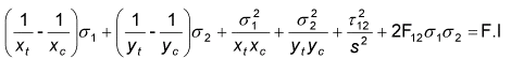
- PUCK per la teoria Puck PCP.
Materiali ortotropi composti da fogli unidirezionali in uno stato generale di sollecitazione piana. Per ulteriori informazioni, consultare il Manuale dell'utente di Autodesk Nastran, riferimenti 12 e 13.
- MCT per la teoria MultiContinuum.
Materiali ortotropi composti da fogli unidirezionali o tessuto intrecciato semplice in uno stato generale di sollecitazione piana. Per ulteriori informazioni, consultare il Manuale dell'utente di Autodesk Nastran, riferimenti 20, 21 e 22.
- Rapporto di resistenza: consente di controllare l'output del rapporto di resistenza Tsai, che viene fornito invece dell'indice di errore per l'output dei risultati dei fogli dell'elemento composito. Quando è impostato su ATTIVO, consente di definire il parametro PARAM,STRENGTHRATIO,ON e viene calcolato il rapporto di resistenza Tsai. Il rapporto di resistenza è considerato più utile dell'indice di errore perché indica esattamente come modificare il carico applicato per ottenere prestazioni di fogli ottimali.
- Sollecitazione di taglio accoppiata consentita: questo valore definisce la sollecitazione di taglio interlaminare di un materiale di accoppiamento. È obbligatorio per ottenere l'output dell'indice di errore di accoppiamento.
- Distanza fibra inferiore: rappresenta per default la metà dello spessore totale. Questa impostazione può essere modificata selezionando la casella a sinistra e digitando un nuovo valore nella casella a destra.
- GE (Coefficiente di smorzamento): con questo valore viene definito il coefficiente di smorzamento dell'elemento strutturale, che corrisponde al doppio del rapporto di smorzamento critico
da utilizzare nelle analisi dinamiche. Ne è previsto il supporto nelle versioni successive.
- MNS: consente di definire la massa non strutturale per area di unità.
(Temperatura di riferimento): con questo valore viene definita la temperatura di riferimento dei fogli compositi (tutti i fogli) da utilizzare per le proprietà dei materiali dipendenti dalla temperatura. Questa funzione sarà supportata nelle versioni successive.
(Spessore totale): indica lo spessore totale specificato nel laminato.
-
Tecniche di creazione dei fogli:
- È possibile definire in molti modi le varie proprietà del foglio.
- Per la prima riga, fare clic su Aggiungi, fare clic nella colonna Materiale della riga e selezionare un materiale. I valori di default per il resto delle colonne vengono caricati automaticamente.
- Selezionare ora l'ID di foglio 1.
- Con un valore 2 nella casella accanto al pulsante Ripeti (1 è l'impostazione di default), fare clic sul pulsante Ripeti. La prima riga viene copiata due volte. Nella seguente figura viene illustrato il risultato.
- Impostare gli angoli su 45, 0 e -45 dall'alto al basso.
- Selezionare ora tutti i fogli. Fare clic sul pulsante Simmetrico.
- Verranno create righe speculari dei fogli selezionati.
- Nella seguente figura viene illustrato il risultato.
- Analogamente, l'opzione Antisimmetrico consente di ottenere righe speculari, ma con segni opposti per gli angoli dei fogli.
- È possibile selezionare più Fogli, quindi fare clic con il pulsante destro del mouse su un campo da modificare. Scegliere quindi Modifica.
- Modifica la rispettiva proprietà di una piega. Tutte le proprietà corrispondenti vengono modificate contemporaneamente.
-
Esempio di finestra di dialogo Laminato:
- Nella configurazione del layup in questo esempio sono presenti tre fogli:
- Per definire la configurazione della proprietà di un piano composito a 3 fogli, le voci della finestra di dialogo Laminato saranno simili alle seguenti. Tenere presente che la proprietà viene definita dal basso verso l'alto.
- Si noti che il valore di Distanza fibra inferiore viene aggiornato automaticamente (-1/2 dello spessore totale). Si tratta della distanza tra il piano di riferimento e la superficie inferiore. Il foglio 1 è il foglio inferiore, mentre l'ultimo foglio definito è quello superiore (il foglio 3 in questo caso).
- Fare clic sul pulsante Anteprima
per visualizzare Mostra layup e Mostra matrice ABD.
- Mostra layup e Mostra matrice ABD si espanderanno singolarmente facendo clic su
. Per comprimerli, fare clic sul pulsante
.
- Mostra layup: mostra la rappresentazione grafica dei fogli definiti mediante la visualizzazione.
- Mostra matrice ABD: le proprietà laminato equivalenti vengono visualizzate nella matrice ABD con il numero di fogli e lo spessore totale definito nel foglio.
- Menu a comparsa: quando si fa clic con il pulsante destro del mouse sulle righe, viene visualizzato il menu a comparsa seguente:
- Aggiungi foglio: consente di aggiungere un nuovo foglio.
- Modifica: consente di modificare la proprietà. Selezionare qualsiasi proprietà, come materiale, foglio globale, spessore e così via. La funzione di moltiplicazione della selezione con modifica viene utilizzata per modificare il valore in tutti i fogli.
- Converti in foglio globale: consente di convertire un foglio normale in una definizione di foglio globale.
- Taglia: consente di tagliare il foglio o i fogli selezionati.
- Copia: consente di copiare il foglio o i fogli selezionati.
- Incolla: consente di incollare il foglio o i fogli tagliati o copiati. Sono disponibili diverse opzioni, ad esempio Incolla sopra, Incolla sotto, Incolla simmetrico sopra, Incolla simmetrico sotto, Incolla antisimmetrico sopra e Incolla antisimmetrico sotto.
- Annulla: consente di annullare l'operazione eseguita.
- Ripeti: consente di ripetere l'operazione eseguita.
- Elimina: consente di eliminare il foglio o i fogli selezionati.
- Inverti fogli: consente di invertire il foglio o i fogli selezionati.