責務設計工程におけるステップの 1 つとして、検証が挙げられます。設計を検証するには、多くの場合、信頼できる単純な理論ケースを計測尺度として使用するのが効果的です。次のケースは、そのようなケースです。
シミュレーション出力の検証の遂行に使用される計算式および前提条件を、次のケースに示します。
単純な質量とばねの検証ケース。

ニュートンの法則:
(1)
ここで
| 数値: | |
|---|---|
| |
|
| |
|
| |
|
| |
10 |
| |
20 |
| |
15000 |
| |
0.3 |
| |
9.81 |
| |
0.33 |
| |
0.0 |
|
(1) |
|
|
かつ |
|
|
|
|
|
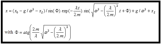
この微分方程式の求解は、次式のようになります。 |
|
|
|
|
|
系が安定のとき、特定の求解における前提条件を |
|
|
このとき (2) |
|
|
|
|
|
|
|
|
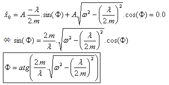
初期条件によって、A の値および |
|
|
t = 0.0 のとき、(3) |
|
|
|
|
|
かつ |
|
|
|
|
|
よって、(3)でレポートされた(4)および(6)によって変位の計算式が与えられます。 |
|
|
|
|
|
さらに、この計算式を Excel でプログラミングし、その結果をダイナミック シミュレーションで与えられた結果と比較すると、それぞれの結果は同一になります。 |
|
![]() |
|
位置と速度、クランクとピストンのケース
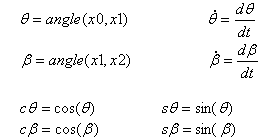
既知の値: クランク軸の回転中心点からのクランク軸ジャーナルの「スロー」または距離、および主軸受ジャーナルとピストン ピン ジョイント間の連結ロッドの長さ。
図

|
定義 |
R = length(OP) = クランク軸のスロー L = length(PQ) = 接続ロッドの長さ |
![]() |
|
|
絶対座標系 R0 = (x0, y0)を基準とした相対位置 Q の速度 |
|
|
|
// R0 における Q の位置 |
|
|
// R0 における Q の速度 |
| ここで
|
|
| ただし
|
|
|
|
|
| ここで |
|
| かつ |
|
| このとき |
|
|
点 Q は常に y0 軸上にあります。x0 成分は 0.0 です。 |
|
|
|
|
![]() |
|
| よって、(1)を使用すると | |
|
|
|
|
計算式(1)により |
|
|
(1) |
|
かつ |
|
| MS Excel と数値(L=0.125m、R=0.06m、および |
|
|
位置: |
|
![]() |
|
|
速度: |
|
![]() |
|
結果: ダイナミック シミュレーションの曲線は、理論計算式により生成される曲線と同一になります。