제로 방정식 난류 모형

Eddy 점도 및 Eddy 전도율 변수를 결정하기 위한 제로 방정식 난류 모델을 Autodesk® CFD에서도 사용할 수 있습니다.

이러한 제로 방정식 모형의 첫 번째를 “Eddy 점도 " 모형이라고 합니다. 이 모형에서 Eddy 점도는 다음에 따라 일정하게 유지됩니다.

이 방정식에서 R은 난류/층류 비율이거나 층류 또는 절대 점도 대비 Eddy 점도의 비율을 나타냅니다.

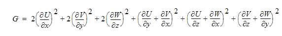
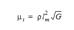
"혼합 길이" 난류 모형에서 Eddy 점도는 다음 식에 따라 계산됩니다.

여기에서

는 유체의 밀도이고 l*m***은 혼합 길이입니다.

난류 경계층에서 혼합 길이는 다음과 같이 계산됩니다.

여기서 는 이전에 나열되었던 벽 매개변수이고 s는 벽으로부터의 법선 거리입니다.

경계층 외부에서 Eddy 점도는 상수이고, 이 페이지에 나온 첫 번째 방정식에 따라 설정됩니다.