2방정식 난류 모형(TKE 및 TED)

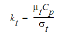
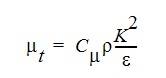
Autodesk® CFD에서 사용되는 난류 모델 중 일부는 2방정식 모델을 사용하여 Eddy 점도 및 Eddy 전도율 변수를 결정합니다. 두 개의 방정식은 난류 운동 에너지 K와 난류 에너지 소실의 전달에 대해 설명합니다. 이 Eddy 점도 및 Eddy 전도율은 다음을 사용하여 계산됩니다.

여기서 는 난류 프란틀 수로, 일반적으로 1,0이 사용되며, 는 실험적 상수입니다. K 및 에 대한 전달 방정식은 운동량 방정식의 모멘트를 사용하여 유도됩니다. 기본적인 높은 레이놀즈 수 k-epsilon 난류 모형의 경우는 다음과 같습니다.

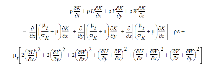
TKE(난류 운동 에너지) 방정식:

TED(난류 에너지 소실) 방정식:

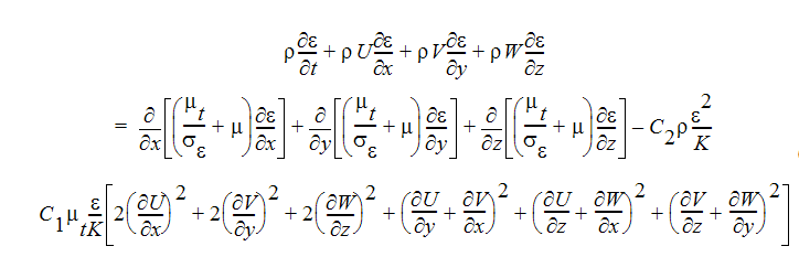
여기서 는 난류 슈미트 수이고, C1 및 C2는 실험적 상수입니다. 이 모형과 연관된 모델링되지 않은 모든 상수는 다음 테이블에 나열되어 있습니다. 이러한 두 가지 방정식을 사용하면 이제 9개의 미지수 이 있는 9개의 방정식을 사용할 수 있습니다.

상수Autodesk® CFD 이름값 증가 결과
  0.09CMu더 많은 혼합, 더 많은 전단, 더 큰 압력 변화
C11.44CE1더 적은 혼합, 더 낮은 전단, 더 작은 압력 변화
C21.92CE2더 많은 혼합, 더 많은 전단, 더 큰 압력 변화
  1.0 (사용자가 수정할 수 없음)
  1.3 (사용자가 수정할 수 없음)

방금 설명한 2방정식 난류 모형은 다양한 응용 사례에 사용되어 왔으며 대부분의 엔지니어링 응용 사례에 잘 맞습니다. 그러나 이 난류 모형은 경우에 따라 요구되는 것만큼 정확하게 박리점을 예측하지 못합니다. 해석을 복잡하지 않게 하면서 박리 예측을 향상시키고 솔루션 획득 능력을 높이기 위해 RNG 2방정식 모델이라고 하는 또 다른 2방정식 모델도 Autodesk® CFD에서 사용할 수 있습니다. 이 모델에서 운동량 방정식은 파수 공간으로 변환되고, Eddy 점도를 계산하는 방정식을 파생시키기 위해 재표준화 그룹 이론이 사용됩니다. 결과 방정식은 좀 더 탄탄한 이론적 토대를 가지므로, RNG 모형을 사용하는 결과가 일반적으로 좀 더 정확합니다. 그러나 이 모형은 수치적으로 덜 안정적이므로 더 많은 수렴 문제가 나타납니다. 따라서 원래의 2방정식 모형으로 해석을 시작한 후 얼마 후에 RNG 모형으로 전환하는 것이 가장 적절할 수 있습니다.

RNG 난류 모형은 Eddy 점도 난류 모형이기도 합니다. 난류 운동 에너지 및 난류 소멸률도 이전과 마찬가지로 계산됩니다. 두 난류 모형 간 차이는 테이블 2의 상수 결정 방식에 있습니다. RNG 모형의 값은 테이블 3에 표시되며, C1은 다음 식을 사용하여 계산됩니다.

여기서 는 다음과 같이 정의됩니다.

상수Autodesk® CFD 이름값 증가 결과
  0.085CMu더 많은 혼합, 더 많은 전단, 더 큰 압력 변화
C01.42RNG CE0더 적은 혼합, 더 낮은 전단, 더 작은 압력 변화
C21.68CE2더 많은 혼합, 더 많은 전단, 더 큰 압력 변화
  0.015RNG Beta더 많은 혼합, 더 많은 전단, 더 큰 압력 변화
  4.38RNG Eta더 많은 혼합, 더 많은 전단, 더 큰 압력 변화
  0.7179 (사용자가 수정할 수 없음)
  0.7179 (사용자가 수정할 수 없음)

위에 설명된 두 개의 난류 모형은 높은 레이놀즈 수 흐름 또는 지배 흐름 구간이 완전히 난류인 흐름에 적합합니다. 그러나 문제 영역의 많은 부분이 층류인 흐름이나, 흐름이 난류로 시작되지만 층류 흐름 구간으로 끝나거나 그 반대인 경우, 위 모형의 정확도가 떨어질 수 있습니다. 경계층의 층류 영역은 여기에 포함되지 않지만, 정체된 큰 열린 공간이 있거나, 장애물이 많은 경우 흐름을 차단하고 로컬 흐름 속도를 감소시키는 문제가 발생할 가능성이 높습니다. 이러한 경우 낮은 레이놀즈 수 난류 모형이 좀 더 적합합니다. Autodesk® CFD에 사용되는 이 모델 또한 난류 운동 에너지, K 및 난류 에너지 소실에 대해 해석되는 2방정식 모델입니다. K에 대해 사용되는 방정식:

난류 운동 에너지 방정식:

에 대한 방정식:

난류 에너지 소실 방정식:

이러한 두 가지 방정식의 상수는 다음 2개의 상수를 제외하고 위 테이블의 경우와 동일합니다.

여기서 는 높은 레이놀드 모델 값과 동일하며 R*t***은 난류 레이놀즈 수입니다.

변경되는 기타 상수는 다음과 같습니다.

여기서 는 높은 레이놀드 모델 값과 동일하며 R*t***는 역시 난류 레이놀즈 수입니다.

유입 경계 조건

K 및 에 대해 입구 경계 조건을 지정해야 합니다. 드문 경우지만 이러한 값을 사용할 수 있습니다. 그러나 대부분의 실제 응용 사례에서는 이러한 값이 사용되지 않으며 추정치가 작성되어야 합니다. 이러한 추정치에 도달하려면 일부 정의가 필요합니다.

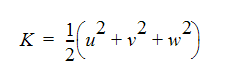
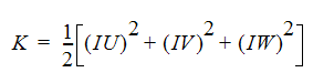
난류 운동 에너지는 다음과 같이 정의됩니다.

이러한 방정식의 속도는 속도의 변동 부분입니다. 난류 강도는 다음과 같이 정의됩니다.

위의 두 방정식을 결합하면 입구 속도 분포에 따른 입구 난류 운동 에너지의 추정치가 생성됩니다.

난류 강도는 좀 더 자주 사용 가능하거나, 좀 더 쉽게 추측할 수 있습니다. 이 값은 해석 대화상자의 난류 버튼을 사용하여 입력할 수 있습니다. 이 값은 난류 강도로 표시됩니다. 내부 흐름에는 기본값인 5%가 사용되고, 외부 흐름에는 1%가 사용됩니다. 유입 흐름이 소용돌이 흐름과 같이 심한 난류인 경우 기본값 대신 10 ~ 20% 정도의 더 높은 값이 사용될 수 있습니다. 많은 내부 흐름의 경우, 로컬 전단이 난류 수량을 지배하면 입구 값이 다운스트림 효과에 별로 중요한 역할을 하지 않습니다.

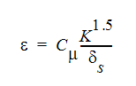
난류 에너지 소실길이 축척 항에 다음과 같이 정의할 수 있습니다.

여기서 는 길이 축척입니다. Autodesk® CFD에서는 길이 축척을 자동으로 계산합니다. 흐름이 내부인지 또는 외부인지에 따라 다른 축척이 사용됩니다. 또한 Autodesk® CFD는 흐름이 내부인지(벽이 많음) 또는 외부인지(벽이 거의 없음)를 자동으로 확인합니다.

벽 모형

이전 섹션에서 설명된 두 가지 높은 레이놀즈 수 난류 모형은 완전한 난류 구간에만 적용 가능하며 경계층의 내부 레이어에는 적용되지 않습니다. 위에 설명된 “낮은 레이놀즈 수" 모형은 슬립이 발생하지 않는 벽 전체에 적용됩니다. 따라서 이 모형은 경계층에서 사용할 수 있으며 이론적으로 재층류화 영역에도 적용됩니다. 낮은 레이놀즈 수 모형을 사용하려면 여러 개의 노드(3-10)를 경계층(y+ 값 1~5) 내에 배치해야 합니다. 메쉬 향상을 사용하면 이 기준이 충족될 가능성이 높습니다. K 및 벽에서의 경계 조건은 Autodesk® CFD에 의해 자동으로 적용됩니다.

높은 레이놀즈 수 난류 모형에서는 벽 기능을 사용하여 벽 옆의 난류 흐름을 모델링합니다. "벽 기능"은 벽 요소의 난류 모형을 대치하며, 일반적으로 경계층에 노드 하나만 배치하면 사용할 수 있습니다. 높은 레이놀즈 수 난류 모형에서 벽 기능을 사용하는 것은 대부분의 난류 흐름에서 적합합니다.

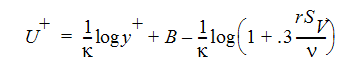
벽 기능의 주 목적은 다음과 같이 작성할 수 있는 벽면의 법칙을 적용하는 것입니다.

여기서 B 및 는 무차원 상수입니다. 내부 변수 U+ 및 y+는 다음과 같이 정의됩니다.

여기서 Ut는 벽에 대한 속도 탄젠트이고, 벽 전단 응력이고, 는 밀도이고, 는 벽으로부터의 거리이고, 은 동점성 계수입니다. Autodesk® CFD는 벽 옆의 속도 및 유체 특성에 따라 벽 유효 점도를 조정하여 벽면의 법칙을 적용합니다. 분리 흐름을 제외하고, 벽면의 법칙은 다음 범위에서 유효합니다.

Autodesk® CFD에 의해 계산되는 y+ 값은 후처리기 파일에 대한 출력이므로 플로팅될 수 있습니다. Autodesk® CFD에서 수행된 일부 검증 문제에서, 35보다 작은 y+ 값은 일반적으로 내부 흐름의 압력 강하 과소 예측과 관련이 있는 것이 확인되었습니다. 350보다 큰 y+ 값은 내부 흐름의 압력 강하 과대 예측에 해당되었습니다. 또한 입구 근처에서 이 범위를 벗어나는 y+ 값이 확인되는 경우는 별로 드물지 않습니다. 이 경계에 균일한 속도 필드가 지정된 경우는 특히 그렇습니다.

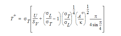
거친 벽의 경우 벽면의 법칙은 다음과 같이 수정됩니다.

여기서 r은 벽면에서부터 측정된 평균 거칠기 높이(길이 단위)이고, 은 동점성 계수이고, Sv는 전단 속도입니다. r의 기본값은 0.0이므로, 결과적으로 불필요한 거칠기 항은 사라집니다. 이 거칠기 값은 재료 특성 창에서 지정됩니다. 솔리드 재료에 지정된 값은 인접한 유체 재료의 값을 재지정합니다.

벽 상수 및 해당 기본값은 다음 테이블에 나열되어 있습니다.

상수Autodesk® CFD 이름값 증가 결과
A+26.0VanDriest경계층의 더 적은 열 혼합
B5.50벽 매개변수더 낮은 벽 전단, 더 작은 압력 변화
r0.0거칠기더 높은 벽 전단, 더 큰 압력 변화
  0.40Kappa더 높은 벽 전단, 더 큰 압력 변화

난류 열 전달 문제의 경우 벽면의 온도 법칙이 적용됩니다. 난류 및 층류 프란틀 수의 상대적 값에 따라 이러한 관계의 두 가지 다른 형식이 Autodesk® CFD에서 사용됩니다. 두 방정식 사이의 차이는 벽 근처의 Eddy 점도 분포를 대체하는 표현식입니다. 첫 번째 경우 다음을 얻기 위해 Spalding’s Inner Law [1]이 사용됩니다.

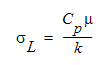
여기서 는 층류 프란틀 수이고 는 난류 프란틀 수입니다. 층류 프란틀 수:

여기서 Cp는 비열이고, 는 절대 점도이고, k는 열전도 계수입니다. T+는 다음과 같이 정의됩니다.

여기서 는 벽면에서의 거리이고, 는 벽 전단 응력이고, k*w***는 벽 레이어의 열전도 계수입니다. 벽면의 온도 법칙에 대한 이 공식은 Autodesk® CFD에서 1.0 값이 지정된 난류 프란틀 수보다 작은 층류 프란틀 수에 사용됩니다. 따라서 대부분의 공기 또는 가스 흐름에는 이 공식을 사용해야 합니다.

층류 프란틀 수가 높은 유체(예: 물)의 경우 Eddy 점도에 대한 Van Driest 공식이 벽면의 온도 법칙에 사용되어 다음을 생성합니다.

여기서 A+는 Van Driest 상수입니다. 이 상수에는 Autodesk® CFD에서 26.0 값이 지정됩니다. 이 값은 해석 작업에서 난류 버튼을 클릭하거나 난류 대화상자에서 고급 버튼을 클릭하여 수정할 수 있습니다.