Autodesk Civil 3D 可以透過豎曲線的幾何圖形定義、PVI 資訊,以及物件和視線高度來計算值。
這些數值均是從經驗方程式導出,且並不使用設計速度。
對於凸形豎曲線,由於曲線峰會擋住駕駛員對於道路地形或其他物件的視野,所以會使用超車和停車視距。
而對凹陷曲線,則由於沒有曲線峰會擋住駕駛員對於道路地形或其他物件的視野,所以不會使用超車和停車視距。在白天,可見性良好之下,駕駛員可以完全看見在凹陷曲線上的道路。但在夜間,駕駛員的最遠視野卻只有前照燈光束的距離。設計凹陷曲線的步驟,您可以使用前照燈視距。
您可以使用「文字元件編輯器」在 Autodesk Civil 3D 2025 中顯示這些性質。在「工具區」的「設定」頁籤上,展開「縱斷面」
「標示型式」
「曲線」。在預設的「凸形」和「凹陷」標示型式上按兩下。按一下「配置」頁籤。在「元件名稱」下,選取項目,例如 BVC。在「文字元件編輯器」上,按一下在「性質」的下拉箭頭以顯示可用性質的清單。向下捲動以顯示例如「前照燈視距」、「超車視距」等的性質。
超車視距是駕駛員為了看見來車以判定有無足夠距離來允許超越車道的必要距離。由於符合超車視距所需的曲線長度通常都過高,因此在凸形豎曲線設計中通常不會使用超車視距。
停車視距此項廣泛用於確定曲線長度的準則是駕駛員為了可以看見道路地形上的危險而必需的距離。政府的規範決定符合超車和停車需求的視距。
以下方程式使用超車和停車視距來計算凸形豎曲線的長度。
其中:
L = 單位為英呎 (或公尺) 的豎曲線長度
S = 單位為英呎 (或公尺) 的視距
A = 單位為坡度比 (%) 的代數差
h1 = 單位為英呎 (或公尺) 的觀測者視線高於道路地形之高度
h2 = 單位為英呎 (或公尺) 的物件高於道路地形之高度
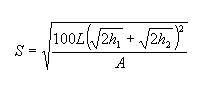
S 小於 L 時,以下方程式可用於 L 的解析:

S 小於 L 時,以下方程式可用於 S 的解析:

S 大於或等於 L 時,以下方程式可用於 L 的解析:

S 大於或等於 L 時,以下方程式可用於 S 的解析:

在夜間,車輛的前照燈光決定視距。凸形豎曲線可截斷在道路地形上的前照燈光束並限制光束的長度。前照燈視距可測量前照燈光束高於鋪面的頂點和最大前照燈角度以決定曲線長度。駕駛員的視線高度也是因素。
以下前照燈視距方程式係用於建立凹陷曲線。
其中:
A = 單位為坡度比 (%) 的代數差
hd = 單位為英呎 (或公尺) 的前照燈光束高於鋪面之高度
L = 單位為英呎 (或公尺) 的豎曲線長度
S = 單位為英呎 (或公尺) 的視距
Ø = 前照燈光束從水平向上彎曲之角度 (通常 1 度)
S 小於 L 時,以下方程式可用於 L 的解析:

S 小於 L 時,以下方程式可用於 S 的解析:

S 大於或等於 L 時,以下方程式可用於 L 的解析:

S 大於或等於 L 時,以下方程式可用於 S 的解析:
