Principes
Calculs
h, b : cotes de la section transversale du poteau b<=h
Ac : aire de la section transversale du poteau, Ac = bxh
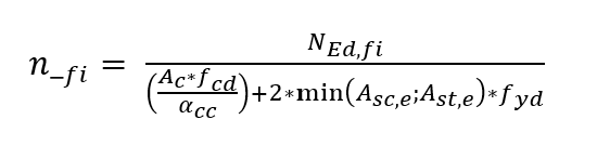
n_fi : rapport de charge

ω : ratio mécanique d’armatures modifié

eN : excentrement total modifié du premier ordre de la force normale, NEd,fi
a : distance de l'axe des barres principales
NEd,fi : charge axiale de calcul en condition d'incendie
M0Ed,fi : moment de calcul du premier ordre en condition d'incendie
Le rapport d'élancement maximal admissible dans des conditions d'incendie (fi,max) est calculé sur la base des tableaux figurant à l'annexe C de la norme EN 1992-1-2:2004/A1:2019. Il est basé sur le ratio mécanique d’armatures modifié (ω), le rapport de charge (n_fi), l'excentrement total modifié du premier ordre de la force normale (eN), la distance de l'axe des barres principales (a) et la cote de la section transversale du poteau. La cote de référence de la section transversale dans les tableaux est toujours la cote de section transversale la plus petite « b ».
Les valeurs du rapport d'élancement maximal admissible dans les conditions d'incendie (λ fi,max) des tableaux de l'annexe C sont interpolées de façon linéaire.
Après les calculs, la section « Poteau - note de calcul » contient l'information qui indique que les résultats de la vérification sont « OK » ou « PAS OK », avec un ensemble d'avertissements qui sont affichés si les conditions réglementaires n'ont pas été respectées.
Le statut « PAS OK » s'affiche lorsqu'un avertissement se produit. Cela signifie que des exigences réglementaires spécifiques n'ont pas été satisfaites et que les valeurs définies par l'utilisateur ne peuvent donc pas être utilisées dans les calculs. Dans ce cas, les valeurs limites les plus proches des tableaux de l'annexe C sont utilisées pour les calculs et toutes les étapes sont effectuées en fonction de ces valeurs et indiquées dans la note. Ce type de note peut être utile lors de la correction du modèle adopté, car il permet à l'utilisateur de vérifier et de comparer des résultats spécifiques. Pour obtenir le statut « OK », le modèle doit être révisé par l'utilisateur selon les instructions fournies par les avertissements.
Les résultats de l'analyse du calcul au feu peuvent être vérifiés dans l'onglet « Poteau - note de calcul », paragraphe 2.5. Tous les avertissements signalés sont affichés, ainsi qu'une réponse rapide indiquant si les résultats de la vérification sont corrects ou incorrects. En outre, les résultats des calculs pour chaque étape, ainsi que les calculs finaux et les comparaisons avec les valeurs limites spécifiées dans la norme, peuvent être examinés.
Exemple de note de calcul pour RSA version 2025 :

En outre, les avertissements s'affichent également dans une autre boîte de dialogue, qui apparaît immédiatement après les calculs.
