Designações adotadas:
E – módulo de Young
G – módulo de cisalhamento
ν – coeficiente de Poisson
fd – limite de elasticidade
Ax – área da seção transversal
Ix – constante de torção
Iy – momento de inércia – flexão no plano XZ
Iz – momento de inércia – flexão no plano YZ
ky, kz – coeficientes de correção da rigidez de cisalhamento nas direções Y e Z
L – comprimento da barra.
Geometria, convenção de sinais para forças, deslocamentos e tensões

Relações cinemáticas básicas
No sistema local do elemento e na faixa geometricamente linear, as tensões generalizadas e no nível da seção transversal são as seguintes (o símbolo
indica o cálculo do diferencial ao longo da direção do eixo da barra):
em que:
|
Tensão axial no eixo da barra: |
e0x = u ,x |
|
Curvaturas: |
K y = fy'x K z = - f z'x |
|
Ângulos médios (deformação): |
b y = n 'x - f z' b y = w 'x - f y |
|
Ângulo de torção da unidade: |
j = f x'x |
Aproximação do deslocamento
Quando há a possibilidade de considerar a influência do cisalhamento e a consistência dos resultados obtidos para o elemento linear, as funções de forma física considerando a influência do cisalhamento foram implementadas.
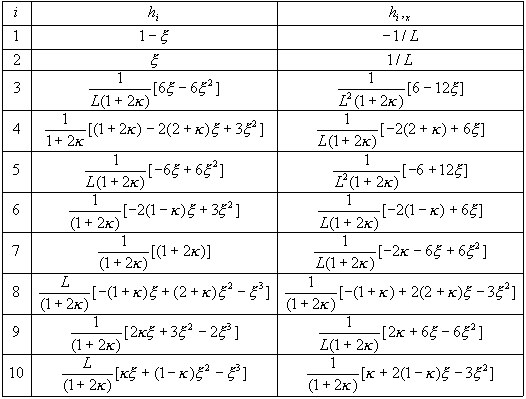
Barras 2D:

As funções de forma e seus derivados são expressos pelas fórmulas:

em que:
x = x / L
para os planos XY e XZ, respectivamente.
Relações cinemáticas para a notação da matriz (a teoria geometricamente linear)
Ao considerar a influência de tensões impostas
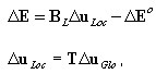
Incremento de tensões generalizadas (secionais):

2D:

3D:

em que:

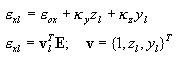
Esforços em um ponto (camada)
Dadas as tensões generalizadas {ε 0x, k y , k x } de uma seção transversal, a tensão exl ou seu incremento Dexl em qualquer ponto da seção transversal l – das coordenadas yl, zl, é calculado como

finalmente, o incremento de tensão na camada:
O princípio constitutivo no nível do ponto
O princípio é adotado na forma incremental geral, onde as tensões de corrente σ x n + 1 são definidas como uma função da tensão para o último equilíbrio σ x n e incremento de deformação atual com deformações (térmicas) impostas consideradas,
com base na função σ = f(ε) que descreve a relação no processo de carga ativa e na especificação do princípio de descarga e recarga. Em particular, pode ser o princípio elastoplástico com endurecimento linear e o princípio especificado de descarga, como (a) elástico, (b) plástico, (c) danos, (d) misturado. Para descarga elástica, o processo ativo e passivo é executado ao longo do mesmo caminho σ = f(ε). Para os restantes, é executada ao longo da linha reta determinada pelo ponto inicial de um determinado processo de descarga {ε UNL, σ UNL } e o módulo de descarga D UNL definido como

e n é uma deformação memorizada, para a qual o processo ativo atual foi iniciado, iniciada após exceder 0 por tensões com o descarregamento (e 1 = 0) assumido.
Para a análise, é necessário fornecer a rigidez atual presumida como derivativa
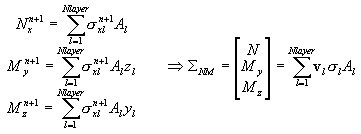
Cálculo de forças e valores de rigidez da seção transversal.
No nível de seção transversal, o vetor de forças internas (resultantes de tensão) é composto por:

Os estados de cisalhamento e de torção ΣST são tratados como linearmente elásticos e não conjugados com o estado das forças axiais/de dobra no nível de seção transversal.

Os estados de compressão/tensão Σ NM são geralmente tratados como conjugados ao aplicar a abordagem em camadas. No entanto, desde que o estado elástico seja garantido, ou seja, até que as tensões generalizadas atuais atendam à seguinte condição de estado elástico:

em que:
a seção transversal é tratada como elástica e a abordagem em camadas não é ativada.

Uma vez que a violação da condição de estado elástico é confirmada, as tensões induzidas por tensões axiais e dobra são calculadas separadamente para cada camada e com base nas quantidades secionais

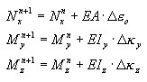
A rigidez no nível da seção transversal D é calculada como segue:
no estado elástico como:
D = diag {EA, EIy, EIz, KyGA, kzGA, GIx)
Após exceder a condição de estado elástico como:
em que:

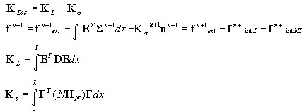
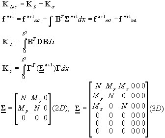
Matriz de rigidez de elemento e vetor de força nodal
Eles são calculados por meio das fórmulas padrão que aplicam a quadratura de Gauss (Ngauss=3).

As seguintes configurações são levadas em consideração:

B0 – configuração inicial
Bn – configuração de referência (a última para a qual as condições de equilíbrio são satisfeitas)
Bn+1 – configuração atual (iterada)
Um ponto de entrada para a formulação do elemento é o princípio de trabalho virtual salvo na seguinte forma para incrementos de deslocamento:
em que: Δε incremento de deformação enquanto move Bn para Bn + 1, Δe, Δη constituem suas partes, correspondentemente: linear e não linear em relação ao incremento de deslocamento Δu, enquanto τ é uma tensão referente à configuração de referência e Cijkl é um tensor de módulos de elasticidade tangencial.
Opção Não linearidade
Corresponde à formulação não linear ou a teoria da segunda ordem. Como a não linearidade do material é possível, a formulação incremental está sendo introduzida (no entanto, sem modificação da geometria do elemento).
Relações cinemáticas
Incrementos de tensão na notação da matriz:
em que:
então, o gradiente de incremento de deslocamento g = ΓΔu
enquanto

é uma matriz de seleção.
Matriz de rigidez de elemento e vetor de força nodal

Algoritmo no nível do elemento
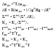
A geometria do elemento não é modificada; a transformação local-global é executada com o uso da matriz de transformação inicial 0 T

Opção de deslocamento grande
É uma certa variante da descrição da barra que permite grandes deslocamentos. A abordagem da descrição do Lagrange atualizada é aplicada aqui.
Matriz de rigidez de elemento e vetor de força nodal

Como alternativa, é possível modelar o trabalho elastoplástico de uma estrutura ao introduzir articulações não lineares em seções transversais de barra selecionadas. As características de uma articulação representada por um elemento DSC de 2 nós são definidas aplicando o algoritmo de análise de seção transversal descrito no ponto 3, presumindo que a função das tensões generalizadas E é executada por deslocamentos de nós mútuos (com relação às direções locais da barra) divididos pelo comprimento do elemento adotado (fictício) (ΔL) que é igual à altura mínima da seção transversal. Elas atuam como o volume do elemento dV=ΔL. As forças e os deslocamentos de nós recém-gerados do elemento DSC constituem graus de liberdade globais, ou seja, não sofrem condensação.
cálculo de tensões generalizadas em uma seção transversal
cálculo de forças internas (resultantes de tensão) e rigidez da seção transversal de acordo com o ponto 3.2

cálculo de forças (reações nas extremidades da barra) e rigidez do elemento DSC

em que:
