Use esse tipo de conexão para projetar e verificar as conexões de tubos de membros de aço com seções de tubos redondos, quadrados e retangulares de acordo com as diretrizes do Eurocódigo 3: 2005.
Os cálculos de conexão abrangem os tipos de conexão de tubo K, N, KT, T, Y e X. É possível usar as seções I como um banzo na conexão e usar apoios do banzo (placas horizontais, placas laterais) soldadas ao banzo (conforme mostrado).

O conjunto de forças consideradas durante os cálculos da conexão:
Os métodos aplicados para o cálculo da capacidade de barras individuais em uma conexão foram desenvolvidos com base nas diretrizes:
Presumiu-se que a verificação da capacidade de um nó por meio da avaliação da capacidade N Rdi usando soldas de topo é equivalente à verificação de uma capacidade dessas soldas. Portanto, durante a verificação de soldas, elas são tratadas como soldas de concordância. A verificação de uma capacidade de solda prossegue de acordo com as diretrizes do Eurocódigo 3: 2005.
Presumiu-se que
o comprimento das soldas é igual ao seu comprimento real.


Se o tubo encontrar o elemento plano em um ângulo
Se os banzos forem feitos de tubos retangulares e quadrados, presume-se que alguns segmentos de soldas são ineficazes.
Para uma conexão em que há uma distância entre barras, presume-se que os segmentos longitudinais de soldas (com relação ao eixo do banzo) sejam totalmente eficazes, enquanto há diferença entre a eficácia dos segmentos transversais. O segmento 3 (solda interna) da junta de barra inclinada participa da transferência de uma força de uma barra para o segmento vizinho. O segmento 4 (solda externa) será excluído da participação se houver ângulos de inclinação grandes.

Seções de projeto de soldas de concordância:
a) seção de projeto de uma solda θ > 50 [graus]
a) seção de projeto de uma solda θ ≤ 50 [graus]
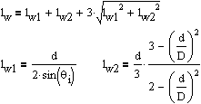
O comprimento efetivo das soldas nas conexões K e N é igual a:

O valor l4 no intervalo (50 graus, 60 graus) deve ser interpolado linearmente.
Para uma conexão em que as barras se sobrepõem, presume-se que as soldas sejam consideradas em todas as quatro arestas de tubos conectados, enquanto seus comprimentos são calculados de acordo com as dimensões reais na conexão.

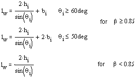
Os comprimentos das soldas nas conexões K e N são iguais:

O procedimento ao calcular as tensões em segmentos individuais de soldas é idêntico ao procedimento para uma conexão com uma distância entre barras.
Consulte também:
O segmento 3 não será eficaz se os valores de b forem pequenos.
Presume-se que o comprimento da solda seja efetivo:
