As forças estáticas aplicadas a uma estrutura influenciam a frequência de vibrações da estrutura. A análise modal comumente usada (determinando as vibrações de uma estrutura) não reconhece a influência de forças estáticas. Para aproximar as condições reais em que uma estrutura funciona, os cálculos executados no Robot podem ser executados de acordo com a análise modal reconhecendo as forças estáticas aplicadas na análise modal.
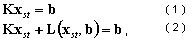
Há dois estágios de cálculos de vibração da estrutura que reconhecem a operação de forças estáticas. Essas análises são de correlação estática entre tensão e deformação sob a influência de uma carga estática definida.
em que:
xst – Vetor desconhecido do estado estático
b – Vetor de uma carga estática definida (vetor de carga estática)
K – Matriz de rigidez
L (xst, b) – Operador não linear
O vetor de carga estática b pode ser um caso de carga simples ou uma combinação de casos de carga definidos.
, ( 2a )
em que:
Ks – Matriz de rigidez de tensão, originada das tensões no estado estático
M – Matriz de massa
ωi2 – Valor próprio (ωi = pulsação)
Φ – Vetor próprio
Para resolver um problema estático não linear (modal), são usados os mesmos métodos que na análise estática não linear. Para um problema estático linear, a seguinte correlação contém:
, em que G é uma matriz de rigidez geométrica.
Os valores positivos ωi (ωi > 0) descrevem estados estáveis de equilíbrio, enquanto os valores negativos (ωi < 0) correspondem aos estados não estáveis de equilíbrio. Por sua vez, o valor zero (ωi = 0) indica falta de estabilidade (flambagem).
Se a matriz K + Ks (xst) parar de ser positivamente determinada, a carga estática se aproximará do valor crítico (flambagem). Durante a análise do problema estático não linear (modal), a convergência não é obtida. Se a abordagem linear (um estágio de análise estática) estiver selecionada e a matriz não for positivamente determinada, recomenda-se parar o cálculo, já que cálculos adicionais não fazem sentido.
Considere o exemplo da estrutura mostrada no desenho a seguir. N refere-se a uma carga estática.

A fórmula a seguir descreve seu comportamento.
, ( 3 )
em que:
w – Deslocamentos devido à flexão
ρ – Densidade do material
F – Área de seção transversal
A solução para essa fórmula será pesquisada por meio da seguinte fórmula:
( 4 )
Uma vez que a expressão ( 4 ) é introduzida na fórmula ( 3 ), o seguinte é obtido.
, ( 5 )
em que:
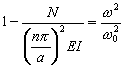
– carga de flambagem
ω02 – Valor próprio para o resultado N=0 da análise modal regular).
Após transformar a fórmula final, é obtido o seguinte.
, ( 6 )
em que ω2 – Valor próprio obtido para a estrutura que passa pela operação da carga estática N.
O resultado das considerações acima é apresentado graficamente no desenho a seguir.

Em conclusão, para estruturas reais, a correlação ω= ω(b) é normalmente ligeiramente mais complexa que o obtido com a fórmula (6).