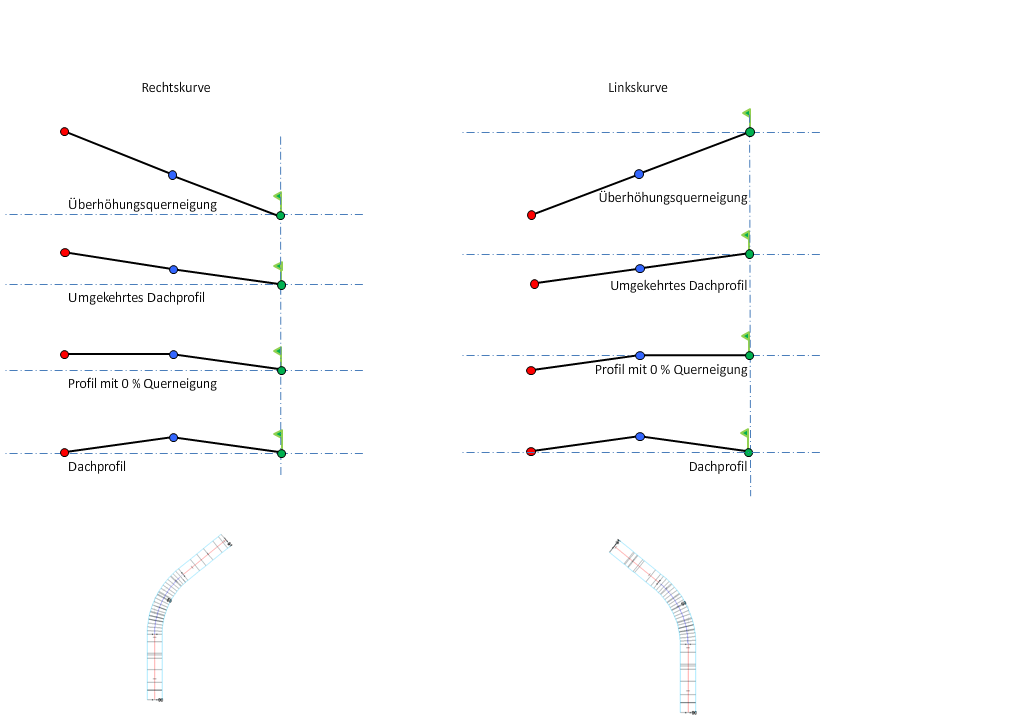
In der folgenden Abbildung wird die Drehpunktmethode Rechte Seite für eine baulich nicht getrennte Straße mit Dachprofil gezeigt.
Eine Beschreibung der Querneigungsdiagramme finden Sie unter Informationen zu Drehpunktmethoden der Querneigungsdrehachse.
