カスタム計算式を指定することにより、曲げシート メタル パーツ モデル内の曲げゾーンを平坦化する割合を正確に指定できます。

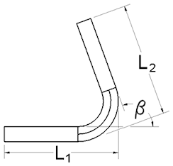
シート メタル パーツは、それぞれの曲げ状態や機能状態によって定義されますが、フラット シートから加工されます。フラット パターン形状に展開された曲げによって、曲げゾーン内の材料が変形します。変形量はいくつかの変数に依存します。折り曲げたモデルをフラット状態に変換する際には、以下の 3 つの方法のいずれかを使用して、この変形を説明する必要があります。
カスタム計算式は、[スタイルおよび規格エディタ]ダイアログ ボックスを使用して定義された、名前付き展開ルール内で定義されています。

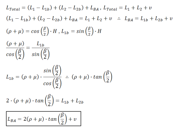
曲げ補正の計算式を使用して総展開長を求めます。

ここで
総展開長です。
最初の詳細面から仮想交点までの長さです。
2 つ目の詳細面から仮想交点までの長さです。
曲げ許容量計算の結果です。Inventor では曲げ許容量の計算に、次の計算式が使用されます。角度が
の場合、Inventor は計算式
を使用します。ここで、
曲げ角度です。
曲げ許容量の長さです。
曲げプレート内側半径です。
シートの厚さです。
曲げ許容量計算の結果です。元の計算式を展開して、曲げ許容量計算を含めると、結果は次のようになります。


角度が
の場合、次の計算式が使用されます。

元の計算式を展開して、曲げ許容量計算を含めると、結果は次のようになります。


曲げ許容量を求めた後、次の式を使用して K ファクターを導出することができます。


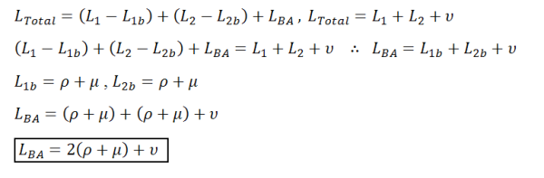
曲げ控除計算式を使用して総展開長を求めます。

ここで
総展開長です。
最初の詳細面から仮想交点までの長さです。
2 つ目の詳細面から仮想交点までの長さです。
曲げ許容量計算の結果です。曲げ控除計算式では、曲げ補正を使用する場合とは正反対の方法で計算が行われます。
曲げ控除に関する曲げ許容量の計算には、次の計算式が使用されます。
角度ケース:


計算式は、
です。ここで、
曲げ角度です。
曲げ許容量の長さです。
曲げプレート内側半径です。
シートの厚さです。
曲げ許容量計算の結果です。角度が
の場合、計算式
が使用されます。

曲げ許容量計算式
を使用して総展開長さを求めます。
総展開長です。
最初の曲げプレートの長さです。
2 つ目の曲げプレートの長さです。
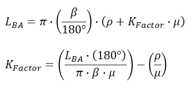
曲げ許容量計算の結果です。定義済み計算式によって、曲げ許容量を直接に解析することができます。K ファクターは、次の計算式から導出できます。


K ファクター方法を使って総展開長を求めるには、次の計算式を使用します。

ここで
総展開長です。
最初の曲げプレートの長さです。
2 つ目の曲げプレートの長さです。
曲げ許容量計算の結果です。曲げ許容量は次の計算式により求められます。

名前付き展開ルールを編集する際は、4 種類のカスタム計算式を定義することができます。
[スタイルおよび規格エディタ]で選択した計算式タイプにより、計算式の左辺を定義する変数が決まります。[計算式編集]ダイアログ ボックスの文字挿入キーを使うと、角度、半径、厚さ、およびπをワン クリックで挿入できます。
[計算式エディタ]ダイアログ ボックスを開く前に、[スタイルおよび規格エディタ]ダイアログ ボックスで選択した[計算式タイプ]ごとに変数タイプを定義しておきます。
計測された角度変数をカスタム展開計算式に挿入します。
計測された内側半径変数をカスタム展開計算式に挿入します。
計測された厚さ変数をカスタム展開計算式に挿入します。
πの算術値をカスタム展開計算式に挿入します。[境界編集]ダイアログボックスで境界条件を指定して、角度、半径、または厚さの範囲に関する展開計算式を定義することができます。