Tych wzorów używa się do rozwiązania wału (z jednym lub więcej przekrojem) lub belki (z jednym stałym przekrojem) za pomocą wielu podpór i obciążeń.
Oś wału/belki jest dopasowana do osi Z. Jeśli do obliczeń włącza się również wpływ gęstości materiału, wektor grawitacji jest dopasowany do osi Y.
Siły ścinające:
![]()
Momenty zginające:
![]()
Kąt ugięcia:
![]()
gdzie:
E | moduł sprężystości w napięciu | |
J | moment bezwładności | |
G | moduł sztywności | |
| β | współczynnik przemieszczenia ścinającego |
Ugięcie:
![]()
Naprężenie zginające:
![]()
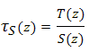
Naprężenie ścinające:
![]()
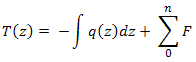
Naprężenie skręcające:
![]()
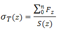
Naprężenie rozciągające:
![]()
Naprężenie zredukowane:
![]()
gdzie:
| σ B | naprężenie zginające | |
| σ T | naprężenie | |
| τ | naprężenie skręcające | |
| τ S | naprężenie ścinające | |
| α | α = 3 dla HMH | |
| α = 4 dla Tresca-Guest |
Przykładowe obliczenia
![]()
Moduł sprężystości E = 210 000 MPa
Moduł sztywności G= 81 000 MPa
Współczynnik przemieszczenia ścinającego β = 1,118
Tryb naprężenia zredukowanego: HMH
Nie zawiera gęstości materiału.
Siły podparcia:
![]()
![]()
Maksymalne naprężenie ścinające:
![]()
Maksymalne naprężenie skręcające:
![]()
Maksymalny moment:
![]()
Maksymalne naprężenie zginające:
![]()
Maksymalne naprężenie zredukowane:
![]()
Kąt skręcenia:
![]()
![]()