Ugięcia belki należy sprawdzić w dwóch przypadkach: obciążanie konstrukcji o wytrzymałości niekompozytowej oraz przy zginaniu pełnego kompozytu przy obciążeniach eksploatacyjnych. Włączenie opcji ugięcia wstępnego wpływa też na wyniki obliczeń ugięcia.
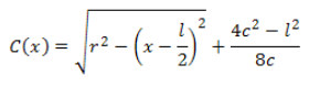
Jeśli wybrano stosowanie ugięcia wstępnego, jest ono obliczane przed wszelkimi ugięciami. Następnie jest używane do określenia ugięć rzeczywistych przy obciążeniach eksploatacyjnych. Domyślnie 80% ugięcia pod ciężarem własnym stanowi ugięcie wstępne z wartościami minimalnymi, maksymalnymi i kroku określonymi przez użytkownika. Ponieważ ugięcia mogą być nieregularne i mogą nie mieć maksimum na środku belki, ugięcie wstępne można obliczyć w dowolnym punkcie wzdłuż belki, zakładając, że belka ugina się wstępnie, tworząc łuk kołowym. Promień r tego łuku można znaleźć na podstawie wartości ugięcia wstępnego „c” i długości belki l:

Następnie ugięcie wstępne przy dowolnym odsunięciu „x” można wyznaczyć w następujący sposób:

W trakcie konstruowania sztywność (i dlatego też ugięcie) przekroju pochodzi jedynie od niekompozytowego przekroju stalowego. Dla każdej belki ugięcia pod ciężarem własnym płyty stropowej, ciężar przekroju stalowego i wszelkie inne obciążenia konstrukcji są obliczane i porównywane z wartościami granicznymi zdefiniowanymi przez użytkownika. Sztywność E i moment bezwładności I przekroju stalowego są używane podczas obliczeń ugięć.
Jeżeli belka ma mieć ugięcie wstępne, to jest ono obliczane jako pierwsze. Ugięcie w punkcie jest definiowane jako ugięcie wstępne w tym punkcie odejmowane od ugięcia belki pod zadanymi obciążeniami. Są one obliczane w ramach obciążeń eksploatacyjnych (tj. nieuwzględnianych). Typy obciążeń, które są uwzględniane w tym obliczeniu:
Jako wartości graniczne ugięcia konstrukcji można ustawić wartość bezwzględną (wartość domyślna: 2 cale) lub względną (wartość domyślna: L/500).
Ugięcia belki pod obciążeniami eksploatacyjnymi obliczane są za pomocą dwóch kryteriów:
W przypadku ugięcia pod obciążeniem zmiennym obliczane są tylko ugięcia tego typu. Ugięcie wstępne nie jest uwzględniane w tych obliczeniach. Ten test ma reprezentować różnicowy ruch belki podczas użytkowania i jest oparty jedynie na sztywności i momencie bezwładności przekroju kompozytowego (patrz poniżej, aby znaleźć metodę obliczania sztywności przekrojów betonowych). Ugięcie pod obciążeniem zmiennym jest ograniczone zarówno przez wartość bezwzględną zdefiniowaną przez użytkownika (wartość domyślna: 2 cale), jak i przez wartość względną zdefiniowaną przez użytkownika (wartość domyślna: L/360).
W przypadku obciążeń połączonych maksymalne ugięcie jest zdefiniowane jako całkowite ugięcie pod wszystkimi obciążeniami eksploatacyjnymi minus ugięcie wstępne w belce. Ilustruje ono, jak bardzo belka odchodzi od linii środkowej w dowolnym punkcie na jej długości. Ponieważ jednak ugięcia pod ciężarem własnym występują podczas działania niekompozytowego, a ugięcia pod obciążeniami zmiennymi występują podczas działania kompozytowego, sztywność i bezwładność belek są różne w każdym przypadku i należy je obliczyć osobno, a następnie dodać. Dlatego też ugięcie całkowite w połączonym przypadku jest równe sumie ugięć pod ciężarem własnym (przy uwzględnieniu wartości I i E dla stali) i ugięć pod wszystkimi innymi obciążeniami eksploatacyjnymi (przy uwzględnieniu wartości I i E dla przekroju kompozytowego) pomniejszonej o ugięcie wstępne (które jest oparte na wartości procentowej ugięć pod ciężarem własnym). Ugięcie połączone jest ograniczone zarówno przez wartość bezwzględną (wartość domyślna: 2 cale), jak i przez wartość względną (wartość domyślna: L/240).
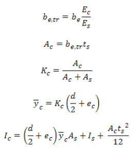
Obliczenia ugięć pod obciążeniami eksploatacyjnymi wymagają użycia efektywnego momentu bezwładności opartego na właściwościach sprężystych przekroju kompozytowego. Właściwości są obliczane na podstawie geometrii przekroju i (w przypadku częściowego działania kompozytowego) wartości procentowej działania pełnokompozytowego wywołanego przez sworznie. W tych obliczeniach pomija się długotrwałe pełzanie związane z betonem.
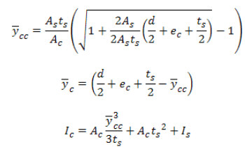
Pierwszym krokiem jest ustalenie, czy oś neutralna sprężystości (E.N.A., Elastic Neutral Axis) przebiega w płycie stropowej, czy w przekroju stalowym. Można to ustalić za pomocą następujących testów. W zależności od warunku przekształcony moment bezwładności sprężystego przekroju kompozytowego oblicza się przy użyciu metody podanej w Cheu (1996).
Jeśli

E.N.A. znajduje się w stali:

Jeśli

E.N.A. znajduje się w płycie stropowej:

gdzie:
E c /Es = n — współczynnik sztywności modułowej

Y c — odległość od środka ciężkości stali do osi neutralnej sprężystości
ec — odległość od górnej półki stalowej do środka ciężkości efektywnej półki betonowej
Is — moment bezwładności przekroju stalowego
Ic — przekształcony moment bezwładności przekroju pełnokompozytowego
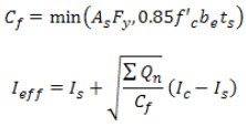
Efektywny moment bezwładności częściowego przekroju kompozytowego, I eff (który jest używany we wszystkich obliczeniach ugięć pod obciążeniami eksploatacyjnymi), jest obliczany przy użyciu równania C-I3-3 z komentarza normy ANSI/AISC 360-10, na podstawie stosunku wytrzymałości sworzni (
) do siły półki ściskanej pełnokompozytowej Cf:
