As seções casteladas são formadas por almas de solda de seções curvas com corte longitudinal (perfis I laminados disponíveis em bancos de dados de seção). Há dois tipos de seção castelada disponíveis: aqueles com aberturas hexagonais ou redondas.
Os membros castelados só podem ser projetados de acordo com a norma de aço polonesa.
Os seguintes parâmetros especificam uma seção castelada:
- x = h + c – Aberturas hexagonais
- x = h + c +hs –Aberturas hexagonais com placa espaçadora
-x = H –Aberturas redondas (H é a altura total da seção especificada pelo usuário)
|
Aberturas hexagonais: c – Profundidade de corte w – Distância entre aberturas a – Espaçamento de aberturas |
|
Aberturas hexagonais com uma placa espaçadora adicional: c – Profundidade de corte w – Distância entre aberturas hs – Altura de uma placa espaçadora a – Espaçamento de aberturas |
|
Aberturas redondas: d – Diâmetro das aberturas w – Distância entre aberturas H – Altura da seção |
Propriedades geométricas
Altura total da seção: H = h + c + h s
Área de seção transversal da seção sólida
Ap = A + c * tw
Área da seção transversal da seção com uma abertura
Ao = A - c * tw
Área da seção transversal da parte em forma de T de uma seção (seção com uma abertura)
A = 0,5 * Ao
Áreas de seção transversal eficazes para cisalhamento
Ay = 2 * bf * tf – Área da seção transversal das flanges
Az = tw * (h - 2 * tf - c) – Área da seção transversal da alma na seção mais fraca – com uma abertura
Posição do centroide da seção
vz = vpz = 0,5 * H
vy = vpy = 0,5 * bf
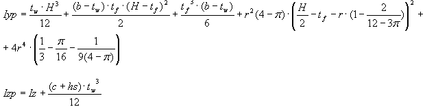
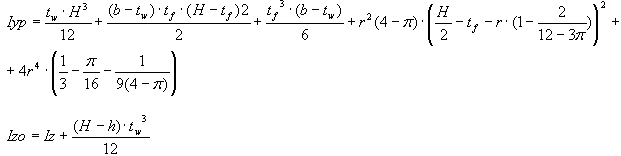
Momentos de inércia em torno dos eixos Y e Z, respectivamente, da seção feita somente de flanges:


Média aritmética dos momentos de inércia das seções enfraquecidas e não enfraquecidas por aberturas

Momento de torção de inércia
Propriedades geométricas
d – Diâmetro das aberturas
w – Distância entre aberturas
H – Nova altura da seção (altura total da seção com uma placa espaçadora)
Área de seção transversal de uma seção sólida
Ap = A + (H - h) * tw
Área da seção transversal de uma seção com uma abertura
Ao = A + (H - h - d) * tw
Área da seção transversal da parte em forma de T de uma seção (seção com uma abertura)
A = 0,5 * Ao
Áreas de seção transversal eficazes para cisalhamento
Ay = 2 * bf * tf – Área da seção transversal das flanges
Az = tw * (H - 2 * tf - d) – Área da seção transversal de uma alma na seção mais fraca – com uma abertura
Posição do centroide da seção
vz = vpz = 0,5 * H
vy = vpy = 0,5 * bf
Momentos de inércia em torno dos eixos Y e Z, respectivamente, da seção feita somente de flanges
Uma seção sólida

Uma seção com uma abertura

Média aritmética dos momentos de inércia das seções enfraquecidas e não enfraquecidas por aberturas

Momento de torção de inércia
Peso próprio
Como uma seção castelada com aberturas hexagonais é feita de uma seção padrão (com parâmetros conhecidos) com quase nenhuma perda (somente extremidades de seção, mas podem ser desconsideradas), seu peso é o peso da seção inicial. Se a seção incluir placas espaçadoras adicionais, o peso das placas espaçadoras deverá ser adicionado a ela:
G = g + Gs
g – Peso da seção inicial
onde:
h s *t w – Área da seção transversal de uma placa espaçadora
r s – peso unitário de aço
Portanto, o peso próprio
O peso próprio de uma seção castelada com aberturas redondas deve ser calculado como um peso da seção com uma placa espaçadora (altura “H”), da seção transversal sólida e reduzido pelo peso das aberturas.
Peso da seção inicial (de um banco de dados): g
Peso da seção sólida com uma placa espaçadora: g1 = g + rs * (H - h) * tw
Peso da seção castelada com aberturas redondas
As seções casteladas também estão disponíveis nos seguintes bancos de dados de seção: