Cálculo da armadura de vigas paredes – princípios

O método de cálculo de vigas paredes é baseado nos seguintes princípios apresentados, como definido no Apêndice E5 da norma francesa BAEL 91.

As seguintes definições de símbolo foram adotadas na descrição dos métodos de cálculo da área da armadura para vigas paredes:

lt

Comprimento da viga parede nos eixos dos apoios.

lo

Comprimento da viga parede na face dos apoios.

l

Cálculo do comprimento da viga parede = mín(lt; 1,15lo).

h

Altura da viga parede.

bo

Largura da viga parede.

z

Braço das forças internas.

p

Uma carga uniforme, reconhecendo os coeficientes de carga para cargas constantes e variáveis.

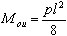
Momento originário da carga “p”.

Força de cisalhamento originada na operação de carga “p”.

Tensão de cisalhamento igual a:

Consulte também

Espessura mínima de uma viga parede.

Cálculos de armadura.