Adicionar a fiação ao projeto é opcional. É possível criar circuitos sem fiação, pois o Revit mantém a inteligência associada ao circuito.
A fiação permanente pode ser adicionada usando um dos seguintes métodos:
painel Converter para fiação. Após criar a fiação permanente, a fiação permanecerá visível na vista quando o circuito não estiver selecionado.
painel Elétrico.
Use propriedades do circuito para especificar o tipo de fio usado em um circuito. Consulte Propriedades do circuito.
Converter um circuito em fiação permanente
Selecione o tipo de fiação para o circuito
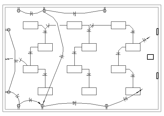
O fio em arco é usado frequentemente para representar o fio oculto em paredes, forros e pisos.
A fiação chanfrada é usada com frequência para representara fiação exposta.
No exemplo a seguir, a fiação em arco conecta as tomadas de corrente e a fiação chanfrada conecta as luminárias. Os retornos principais são adicionados automaticamente para indicar a conexão com um painel.
