Редактирование пользовательских формул развертки
Используйте пользовательские формулы, чтобы задать точный порядок разворачивания областей сгибов в свернутых моделях деталей из листового металла.

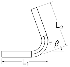
Детали из листового металла определяются в сложенном виде или по функциональному состоянию, однако они изготавливаются из плоского листа. Сгибы, которые разворачиваются при формировании развертки, деформируют материал в области сгиба. Величина деформации зависит от нескольких переменных. Трансформация сложенной модели в развернутое состояние требует проведения расчета такой деформации одним из трех методов:
- Линейная аппроксимация с использованием коэффициента поправки на изгиб
- Измеренные значения, взятые из таблицы сгибов для определенных материалов, значения угла загиба и инструменты.
- Пользовательские формулы, обеспечивающие равномерную деформацию с заданными условиями угловых границ.
Пользовательские формулы определяются в именованных правилах развертки, которые создаются с помощью диалогового окна "Редактор стилей и стандартов".
Коррекция сгиба

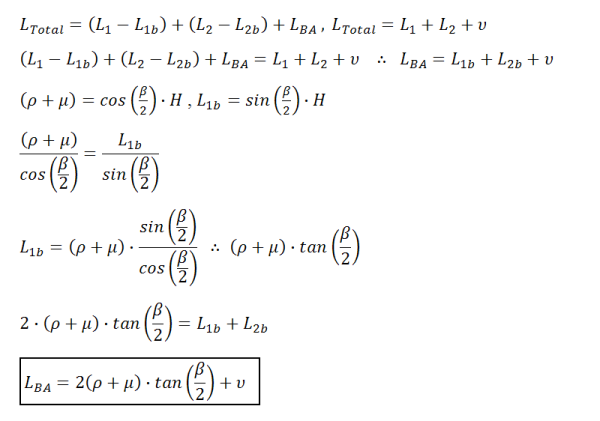
Используется формула коррекции сгиба, что позволяет определить общую развернутую длину:

Где:
— общая длина развертки;
— длина от первой грани детали до виртуального заострения;
— длина от второй грани детали до виртуального заострения;
— результат вычисления коэффициента расчета развертки. Вычисление поправки на сгиб в Inventor выполняется с использованием следующих уравнений: В случаях с углами, где
, в Inventor используется формула
, где:
— угол загиба;
— длина коэффициента расчета развертки;
— внутренний радиус сгиба пластины;
— толщина листа;
— результат вычисления коэффициента расчета развертки.
Дополните исходное уравнение, включив в него результаты вычисления поправки на сгиб.


В случаях с углами, где
, используется следующая формула:

Дополните исходное уравнение, включив в него результаты вычисления поправки на сгиб.


После определения коэффициента расчета развертки можно вывести коэффициент поправки с помощью:

Уменьшение сгиба

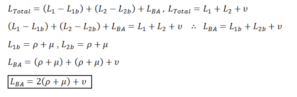
Используется формула уменьшения сгиба, что позволяет определить общую развернутую длину:

Где:
— общая длина развертки;
— длина от первой грани детали до виртуального заострения;
— длина от второй грани детали до виртуального заострения;
— результат вычисления коэффициента расчета развертки.
Формула уменьшения сгиба предоставляет метод расчета, прямо противоположный методу компенсации сгиба.
При использовании метода уменьшения сгиба Inventor вычисляет поправку на сгиб с использованием следующих уравнений.
В случаях с углами:


формулой будет
, где:
— угол загиба;
— длина коэффициента расчета развертки;
— внутренний радиус сгиба пластины;
— толщина листа;
— результат вычисления коэффициента расчета развертки.
В случаях с углами, где
, используется следующая формула: 
Поправка на сгиб

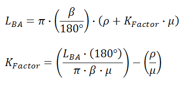
Используется формула коэффициента расчета развертки
для определения общей развернутой длины, где:
— общая длина развертки;
— длина первой пластины сгиба;
— длина второй пластины сгиба;
— результат вычисления коэффициента расчета развертки.
Определенное уравнение передается для нахождения непосредственно поправки на сгиб. Коэффициент поправки на изгиб может быть выведен из следующего уравнения:

Коэффициент поправки на изгиб

Для определения общей развернутой длины с использованием метода поправки на изгиб применяется следующее уравнение:

Где:
— общая длина развертки;
— длина первой пластины сгиба;
— длина второй пластины сгиба;
— результат вычисления коэффициента расчета развертки.
Поправка на изгиб вычисляется с помощью следующих выражений:

Редактирование пользовательских формул развертки
При редактировании именованного правила развертки можно определить пользовательские формулы четырех типов.
Тип формулы, выбранный в диалоговом окне "Редактор стилей и стандартов", определяет переменную, которая задает левую часть формулы. Клавиши вставки символов в диалоговом окне редактирования формулы предоставляют возможность одним нажатием вставлять значения углов, радиусов, толщины и константы Пи.
Тип переменной определяется типом формулы, который выбирается в диалоговом окне "Редактор стилей и стандартов" перед вызовом диалогового окна "Редактор формул".
- В диалоговом окне "Редактор стилей и стандартов", где в качестве способа развертки выбрана пользовательская формула, дважды щелкните ячейку пользовательской формулы, расположенную слева от граничного условия, для которого требуется определить пользовательскую формулу.
- В диалоговом окне "Редактирование формулы" введите формулу для определения переменной, отображаемой за границами поля ввода формулы:
. Вставка переменной измеренного угла в пользовательскую формулу развертки.
. Вставка переменной измеренного внутреннего радиуса в пользовательскую формулу развертки.
. Вставка переменной измеренной толщины в пользовательскую формулу развертки.
. Вставка математического значения Пи в пользовательскую формулу развертки.
- При определении пользовательской формулы развертки данные в поле формулы вводятся с клавиатуры.
- (Необязательно) Чтобы изменить тип переменной, которая рассчитывается с помощью пользовательской формулы, нажмите кнопку "Отмена" и в диалоговом окне "Редактор стилей и стандартов" выберите подходящий тип формулы.
Редактирование граничных условий пользовательской формулы развертки
Можно указывать формулы развертки для диапазона углов, радиусов или толщины, задавая граничные условия в диалоговом окне "Редактирование границ".
- Если пользовательская формула представляет собой метод развертки, выбранный в диалоговом окне "Редактор стилей и стандартов", справа от пользовательской формулы, для которой необходимо определить граничные условия, дважды щелкните ячейку граничных условий.
- Чтобы создать формулу, которая определяет диапазоны угла, толщины или радиуса, в верхней строке раскрывающихся списков в диалоговом окне "Редактирование границ" выберите операторы равенства и тип диапазона.
- В нижних строках в полях с левой и правой сторон введите значения пределов граничных условий.