Die nichtlinearen Spannungs-Dehnungs-Merkmale von hyperelastischen Materialien, z. B. Gummi, sind komplex. Die zahlreichen verfügbaren Materialsorten variieren stark in ihrem Verhalten. Bei nichtlinearen Simulationen in Fusion werden hyperelastische Materialien mit dem Mooney-Rivlin-Materialmodell (Standard mit zwei Konstanten) dargestellt. Die Materialkoeffizienten werden durch die Kurvenangleichung experimentell erlangter Spannungs-Dehnungs-Rohdaten abgeleitet. Diese Daten können auf verschiedenen Tests beruhen, einschließlich der folgenden Spannungs-/Druck-Testbeispiele:
Die Beschreibung dieser Tests und die Rohdaten, die erzeugt werden, gehen über den Umfang dieses Themas hinaus. Die Materialtests werden durch spezialisierte Labors vorgenommen, die Kurvenangleichung muss außerhalb von Fusion durchgeführt werden. (Das Programm verfügt über keine integrierte Funktion zum Empfangen der Rohdaten und Durchführen der Kurvenangleichung.) Es gibt verschiedene Programme zur Durchführung der erforderlichen Kurvenangleichungsfunktion, sobald die Rohdaten erhalten wurden. Eines dieser Programme ist HyperFit, das als Freeware-Demoversion (eingeschränkte Funktionalität) und als lizenzierte Version verfügbar ist. Eine vollständige Lizenz ist erforderlich, um die Kurve und die resultierenden Materialkonstanten zu generieren.
Hyperelastische Materialien in Fusion werden mithilfe des Mooney-Rivlin-Materialmodells (Standard mit zwei Konstanten) modelliert. Da die Formel für das nahezu nicht kompressible Verhalten verwendet wird, werden volumetrische Formeln in die Dehnungsenergiefunktion eingeschlossen. Die Effekte der Scherverzerrung und der volumetrischen Verformung werden getrennt.
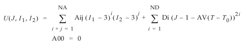
Die Beziehung zwischen der Dehnungsenergie, der Scherverzerrung und der volumetrischen Verformung wird mit der folgenden allgemeinen Fallfunktion (gültig für Fälle mit zwei oder mehr Konstanten) angegeben:

Dabei gilt:
Aktuell unterstützt Fusion keine thermischen Effekte für hyperelastische Materialien in nichtlinearen Analysen. Daher können wir die vorherige Funktion vereinfachen, indem die Formeln für die thermische Ausdehnung (AV, T und T0) gestrichen werden, und indem wir die Summierung für die Konstanten berechnen, die Fusion akzeptiert (A01, A10 und D1). Die vereinfachte Gleichung für die Dehnungsenergie lautet dann wie folgt:

Dabei gilt:
Das bedeutet 2D1 = K. Und damit D1 = K/2