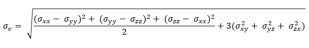
Eine gebräuchliche Methode, die multidirektionalen Tensorspannungskomponenten darzustellen, ist die Verwendung einer Vergleichsspannungsgröße. Diese Vergleichsspannung wird auch als Von-Mises-Spannung bezeichnet (σv). Die folgende Gleichung zeigt, wie die sechs Tensoren (σxx, σyz usw.) kombiniert werden, um die Von-Mises-Spannung zu berechnen. Diese Formel gilt für isotrope Materialien, die im jeweiligen elastischen Bereich belastet werden. Ein isotropes Material hat den gleichen Elastizitätsmodul und die gleiche Querdehnung für Lasten, die in einer beliebigen Richtung angewendet werden. Die Querdehnung ist ein Maß dafür, wie sehr ein Material seitlich verformt wird, wenn es axial belastet wird.
