Niederschlag – Chinesisch (Chinese Rainfall)

Für chinesische Haltungsentwürfe empfiehlt die Verordnung die rationale Methode, sodass für jede Stadt eine Formel für die Niederschlagsintensität im gleichen Format gilt:

Keifer & Chu (1957) beschreiben die Generierung eines Bemessungsniederschlags (auch als Chicago-Niederschlag bezeichnet) mit dieser Intensitätsformel.

Anmerkung: Diese Methode ist für Ihre Region möglicherweise nicht verfügbar. Weitere Informationen finden Sie im Thema Regionalisierung.

Parameter

a

Gleichungskonstante, die bei der Berechnung von A verwendet wird, wenn für die Berechnung von A die Option Berechnet festgelegt ist

C

Gleichungskonstante, die bei der Berechnung von A verwendet wird, wenn für die Berechnung von A die Option Berechnet festgelegt ist

r

Teil der Ereignisdauer vor dem Spitzenwert

Beispiele für den Wert r:

Ort

r(Vorkommen)

Bereich

r(Vorkommen)

Chicago

0.375(83)

Peking

0.355(57)

Russland

0.35(–)

Shanghai

0.367(80)

Japan

0.50(1050)

Nordchina

0.3–0.4(483)

Typische Stadt in China

0.3–0.4(–)

Wuhan

0.3–0.4(–)

b

Benutzerdefinierte Gleichungskonstante

n

Benutzerdefinierte Gleichungskonstante

Wiederkehrperiode

Zeitraum in Jahren zwischen Ereignissen mit der gleichen oder einer größeren Intensität als dieses Niederschlagsereignis.

Zunehmende Niederschläge

Hiermit wird der gesamte Niederschlag um die angegebene Menge skaliert. Diese Option kann verwendet werden, um Klimaveränderungen oder andere Faktoren zu berücksichtigen.

Berechnung von A

Wählen Sie eine Methode zur Angabe des Werts von A aus:

A (berechnet)

A wird wie folgt berechnet:

a (1 + C log10 P)

Dabei ist P die Wiederkehrperiode.

A (Benutzer)

Benutzerdefinierte Gleichungskonstante

Berechnung von Intensität und Niederschlag

Die Dauer des Bemessungsniederschlags beträgt .

Die sofortige Intensität vor dem Spitzenwert beträgt , die entsprechende Dauer und die kumulative Tiefe .

Die sofortige Intensität nach dem Spitzenwert beträgt , die entsprechende Dauer und die kumulative Tiefe .

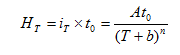
Gesamtniederschlagstiefe:

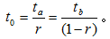
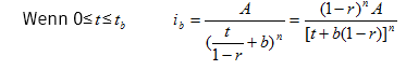
Wenn ist und das Spitzenzeitverhältnis r (im Bereich 0 bis 1) beträgt, dann gilt .

Angenommen, die Dichteformel lautet

In China gilt A = a (1 + log10 P), wobei P die Wiederkehrperiode und a eine Konstante ist.

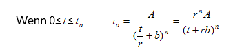
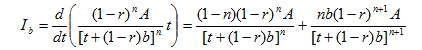
Die sofortige Intensität vor und nach dem Spitzenwert beträgt:

Daher werden und wie folgt berechnet:

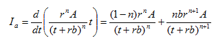
Aus den beiden obigen Gleichungen ergibt sich die folgende kumulative Niederschlagstiefe:

Der kumulative Niederschlag wird mit den folgenden Gleichungen berechnet:

Dabei gilt:

Referenz zum Chicago-Niederschlagen

C.J. Keifer, H.H. Chu, Synthetisches Niederschlagsmuster für die Entwässerungsplanung, Tagungsband 1332. ASCE. August 1957.

Niederschlagsdauer

Es muss ein Satz von Niederschlagsdauern und Laufzeiten angegeben werden, damit die Analyse fortlaufend durchgeführt werden kann. Alle Werte für die Dauer können bearbeitet werden. Für zusätzliche Zeiträume können weitere Zeilen hinzugefügt werden.