Kinematische Welle

Parameter

Volumenstromlänge: Länge des Oberflächenfließwegs.

Geländeneigung: Neigung der hydraulischen Neigungslinie.

Ereignisintensität: Intensität des Niederschlags.

Rauigkeit Einzugsgebiet: Horton-Rauigkeitswert.

Berechnung

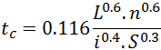
Dabei gilt:

L = Länge des Oberflächenabflusses (m)

S = durchschnittliche Neigung des Einzugsgebiets (m/m)

i = Niederschlagsintensität (mm/Std.)

n = Oberflächenrauheit (ähnlich, jedoch nicht identisch mit dem n-Wert nach Manning)

Beton oder Asphalt 0.010 - 0.013

Reiner Sand 0.010 - 0.016

Kiesoberfläche 0.012 - 0.030

Reiner Ton-Lehm-Boden (erodiert) 0.012 - 0.033

Spärliche Vegetation 0.053 - 0.130

Kurzgrasprärie 0.100 - 0.200

Rasen 0.170 - 0.480

 t= Konzentrationszeit (Std.)