V-Ausklinkung Wehr

Der Volumenstrom für ein Wehr mit V-Ausklinkung wird mithilfe der folgenden Formel berechnet:

 

Dabei gilt:

Cd = Durchflusskoeffizient

vang = interner Winkel des V-Werts (Grad)

g = Beschleunigung aufgrund der Schwerkraft (9.81 m²/s)

H = Wasserhöhe über Wehrsohle

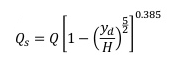
Wenn die Höhe stromabwärts über der Kuppenhöhe liegt, verwendet die Software die Villemonte-Gleichung, um die Eigenschaften des Volumenstroms unter Wasser zu simulieren:

Dabei gilt:

Qs = Volumenstromrate unter Wasser

Q = Freie Volumenstromrate bei H

Yd = Tiefe stromabwärts

H = Wassertiefe am Messpunkt

Anmerkung: Ein Abflussexponent von 2.5 (5 / 2) wird für Wehre mit V-Ausklinkung verwendet.

V-Ausklinkung Wehr: Spezifikationen 

Winkel von V: Geben Sie den Winkel von V in Grad ein.

Durchflusskoeffizient: Geben Sie den Durchflusskoeffizienten des Wehrs ein. Der Vorgabewert lautet 0.59.

Sohlenhöhe: Die Sohlenhöhe des Wehrs.