Wehr

Der Auslass Wehr ermöglicht die Modellierung einer rechteckigen Wehrsteuerung.

Spezifikation 

Breite: Geben Sie die Breite des Wehrs ein. Wenn Sie mit einem maximal zulässigen Abfluss arbeiten, wird ein Rechner bereitgestellt, um die Dimensionierung des Steuerelements zu unterstützen. Daraus ergeben sich zwei zusätzliche Parameter:

Durchflusskoeffizient: Der Durchflusskoeffizient hängt von der Art des ausgewählten Wehrs oder der ausgewählten Schwemmrinne ab. Es wird ein Vorgabewert von 0.544 angegeben; er eignet sich im Allgemeinen für Volumenströme über Hochwasserböschungen, Wehre mit abgerundeten Kanten und horizontaler Krone und rechteckige Schwemmrinnen. Andere Werte lassen sich verwenden, und wie bei den anderen Steuerelementen stehen Werte für Durchflusskoeffizienten in jeder guten Referenz zu hydraulischen Steuerungsstrukturen zur Verfügung.

Nachstehend finden Sie eine Auswahl der gebräuchlichsten Koeffizienten.

Beschreibung

Koeffizient

Referenz

Ein Wehr mit abgerundeten Kanten und horizontaler Krone (oder Volumenstrom über eine Hochwasserböschung)

0.544

British Standards Instn (1969)

Ein rechteckiges Profilwehr

0.46

Ackers, White, Perkins, Harrison (1978)

British Standards Instn (1969)

Crabbe (1974)

Rechteckiges Wehr mit dünner Platte und voller Breite (b) ohne Seitenkontraktionen

0.59

Ackers, White, Perkins, Harrison (1978)

British Standards Instn (1965)

Rechteckiges Wehr mit dünner Platte und Seitenkontraktionen

0.56(b + 0.003)

Ackers, White, Perkins, Harrison (1978)

British Standards Instn (1965)

Kuppenhöhe: Die Kuppenhöhe des Wehrs.

Berechnungen

Der Wehrvolumenstrom wird unter den Bedingungen eines freien Volumenstroms mithilfe der folgenden Formel berechnet:

Dabei gilt:

Q = Abfluss

Cd = Durchflusskoeffizient

b = Wehrbreite

g = Beschleunigung aufgrund der Schwerkraft (9.81 m²/s)

h = Wassertiefe

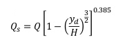
Wenn die Höhe stromabwärts über der Kuppenhöhe liegt, verwendet die Software die Villemonte-Gleichung, um die Eigenschaften des Volumenstroms unter Wasser zu simulieren:

Dabei gilt:

Qs = Volumenstromrate unter Wasser

Q = Freie Volumenstromrate bei H

Yd = Tiefe stromabwärts

H = Wassertiefe am Messpunkt

Anmerkung: Ein Abflussexponent von 1.5 (3 / 2) wird für rechteckige Wehre verwendet.

Weitere Informationen finden Sie im SWMM-Referenzhandbuch, Band 2 (Hydraulics), das hier verfügbar ist.