Methode de Caquot

The ‘Methode de Caquot’ is a peak flow calculation method developed in France in the 1940s. It was originally developed as an extension of the Rational Method. The name of the method comes from its inventor, the versatile civil engineer Albert Caquot (1881–1976). The method is mainly used in France and some French-speaking countries.

The method was devised at a time when it was not technically possible to calculate the complete hydrograph generated by an urban catchment. The peak flow was the only value that could be used to help with the sizing of drainage networks. Obviously, the method is less useful nowadays, as more advanced hydrological methods can be used to estimate full outflow hydrographs. Nevertheless, because of its simplicity, it is still used to assist the design of drainage networks.

The method was originally published in 1941 and its use by practitioners was recommended from 1949, then the method was revised in 1977 [1]. The implementation in InfoDrainage is based on the description in the reference guide ‘La Ville et son assainissement’ [2].

Sizing

The Pipe sizing method used in InfoDrainage is the same, whichever flow calculation method is selected.

Note: This option may not be available for your region. For more information, refer to the Regionalisation topic.

The equations

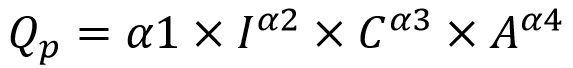
The main formula used by the ‘Methode de Caquot’ is as follow:

where I is the average slope of the catchment (m/m), C is the runoff coefficient of the catchment (generally assumed equal to the coefficient of impermeabilisation) and A is the catchment area (ha).

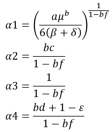
The coefficients  are calculated using the advanced parameters according to the following equations:

where the parameters a and b refer to the parameters used in the Desbordes rainfall, and the advanced parameters c, d, f, μ, ε, β, δ derive from the assumptions on the estimation of the time of concentration and storage in the catchment, and the areal reduction of the rainfall. The default values recommended by the guidance documents referenced above are displayed below. These can be used in most situations, but can also be edited by the user.

Shape correction factor

The formula above assumes that the catchment has a shape factor E approximately equal to 2.

where L is the length of the longest hydraulic path in the catchment and A is the area in m². If the shape factor E is very different from 2, the peak flow Qp needs to be corrected by the following shape correction factor:

Catchment grouping

The formulas above are used to estimate the peak flow generated by a single urban catchment. In most practical applications there will be several catchments to represent. The Methode de Caquot specifies how several catchments should be grouped together for the estimation of the peak flow at the most downstream point.

The main distinction is between catchments grouped in a serial way or in a parallel way. Because in InfoDrainage catchments are connected to a connection or to a Stormwater Control (and not to another catchment), only the parallel grouping makes sense in this context. The table below gives the relations used to calculate the equivalent properties of several grouped catchments.

where L(tcmax) is the runoff path length of the catchment with the longest Time of Concentration.

For the estimation of the peak flows throughout the drainage system, InfoDrainage follows the network from all catchments and identifies the junctions. At each junction, InfoDrainage calculates the equivalent catchments properties from the 2 or more connecting branches. Then these equivalent catchments properties are kept in memory, to be used further downstream if a grouped catchment needs to be grouped with another catchment.

For example, let us consider the simplified network below with the 3 catchments A, B and C. At network location N1, the peak flow is estimated by calculating the properties (via parallel grouping //) of AB = A // B. At network location N2, the peak flow is estimated by calculating the properties of ABC = (AB) // C.

Limitations

As the Methode de Caquot is partly an empirical method, its applicability is limited to the range of catchments included in the original study.

The Methode de Caquot should only be used on urban catchments that do not contain storage structures.

Also, the Methode de Caquot uses the Montana coefficients from the selected Desbordes rainfall. Therefore the user is reminded that the 3 rainfall zones used to describe the pluviometry of France are based on relatively old data and the use of more recent rainfall data would improve the quality of the results. Up-to-date Montana coefficients can be obtained from Meteo France.

References

[1] Circulaire interministérielle n° 77–284 du 22 juin 1977 concernant l'instruction technique relative aux réseaux d'assainissement des agglomérations. Imprimerie National, Paris

[2] La Ville et son assainissement, Principes, méthodes et outils pour une meilleure intégration dans le cycle de l'eau, 2003, CERTU, ISBN 2-11-094083-2