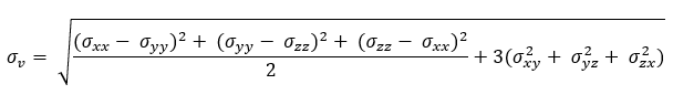
Una forma habitual de expresar los componentes de tensión del tensor multidireccional es combinarlos en una magnitud de tensión equivalente. Esta tensión equivalente también se conoce como tensión de Von Mises (σv). La siguiente ecuación muestra cómo se combinan los seis tensores (σxx, σyz, etc.) para producir la tensión de Von Mises. Esta ecuación es aplicable a los materiales isotrópicos cargados dentro de su rango elástico. Un material isotrópico tiene el mismo módulo de elasticidad y coeficiente de Poisson para las cargas aplicadas en cualquier dirección. El coeficiente de Poisson es una medida de cuánto se deforma lateralmente un material cuando se tensa axialmente.
