Lluvia china

En el caso del diseño de canaletas chino, la normativa recomienda el método racional, por lo que cada ciudad tiene una fórmula de intensidad de lluvia con la misma forma:

La lluvia de diseño de Keifer y Chu (1957) (también denominada Lluvia de Chicago) describe cómo generar una lluvia de diseño con esa fórmula de intensidad.

Nota: Es posible que este método no esté disponible para su región. Para obtener más información, consulte el tema Regionalización.

Parámetros

a

Constante de ecuación utilizada en el cálculo de A cuando el cálculo de A se establece en Calculado.

C

Constante de ecuación utilizada en el cálculo de A cuando el cálculo de A se establece en Calculado.

r

Parte de la duración del evento que se produce antes del pico.

Ejemplos de valores r:

lugar

r(tiempos)

área

r(tiempos)

Chicago

0,375(83)

Pekín

0,355(57)

Unión Soviética

0,35(—)

Shanghái

0,367(80)

Japón

0,50(1050)

China septentrional

0,3-0,4(483)

Casi todas las ciudades de China

0,3-0,4(—)

Wuhan

0,3-0,4(—)

b

Constante de ecuación definida por el usuario.

n

Constante de ecuación definida por el usuario.

Período de retorno

Período, en años, entre eventos de la misma intensidad o de mayor intensidad que esta tormenta.

Aumento de lluvia

Se aumentará toda la lluvia según la cantidad especificada. Esta opción se puede utilizar para tener en cuenta el cambio climático, u otros factores.

Cálculo de A

Seleccione el método para especificar el valor de A:

A (calculado)

A se calcula de la siguiente manera:

a(1 + Clog10P)

Donde P es el período de retorno.

A (usuario)

Constante de ecuación definida por el usuario.

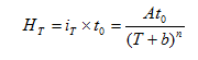
Cálculo de intensidad y lluvia

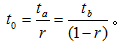
La duración de la lluvia de diseño es 

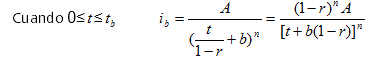
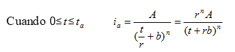
La intensidad instantánea antes del pico es , la duración correspondiente es y la profundidad acumulada es .

La intensidad instantánea después del pico es , la duración correspondiente es y la profundidad acumulada es .

Profundidad total de lluvia 

Defina , la relación de tiempo de pico es r (que tiene un intervalo de 0 a 1) y, a continuación, .

Supongamos que la fórmula de densidad es 

En China, A = a(1 + log10 P), donde P es el período de retorno y a es una constante.

La intensidad instantánea antes de y después del pico es:

Por lo tanto, y se calculan de la siguiente manera:

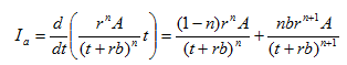
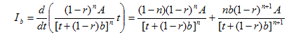
A partir de las dos ecuaciones anteriores, se genera la profundidad de lluvia acumulada, que se muestra a continuación:

La lluvia acumulada se calcula mediante las siguientes ecuaciones:

donde

Referencia sobre la lluvia en Chicago

C.J. Keifer, H.H. Chu, Synthetic Storm Pattern for Drainage Design, Proc. Paper 1332. ASCE. Agosto de 1957.

Duraciones de aguas pluviales

Debe especificarse un conjunto de duraciones de aguas pluviales y tiempos de ejecución para que el análisis se ejecute de manera integral. Todos los valores de duración se pueden editar, y se pueden añadir nuevas filas para incorporar duraciones adicionales.