Onda cinemática

Parámetros

Longitud de caudal: longitud de la ruta de caudal del plano.

Talud de terreno: talud de la línea de gradiente hidráulico.

Intensidad de evento: intensidad de la lluvia.

Rugosidad de cuenca vertiente: valor de rugosidad Horton.

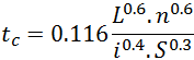
Cálculo

donde:

L = Longitud del caudal de tierra (m)

S = Talud promedio de cuenca vertiente (m/m)

i = Intensidad de lluvia (mm/h)

n = rugosidad de superficie (similar pero no idéntica a la n de Manning)

Hormigón o asfalto 0,010-0,013

Arena descubierta 0,010-0,016

Superficie con gravilla 0,012-0,030

Suelo de arcilla descubierto (erosionado) 0,012-0,033

Vegetación dispersa 0,053-0,130

Pradera de hierba corta 0,100-0,200

Césped 0,170-0,480

 t = tiempo de concentración (h)