Vertedero en forma de V

El caudal de un vertedero en forma de V se calcula mediante la siguiente fórmula:

 

donde

Cd = coeficiente de descarga

Vang = ángulo interno de la V (grados)

g = aceleración debida a la gravedad (9,81 m²/s)

H = altura del agua sobre el rasante del vertedero

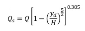
Cuando la elevación aguas abajo se encuentra por encima de la elevación de cresta, el software utiliza la ecuación de Villemonte para simular la naturaleza sumergida del caudal:

donde:

Qs = velocidad de caudal sumergido

Q = velocidad de caudal libre en H

Yd = profundidad aguas abajo

H = profundidad de agua en el punto de medida

Nota: Exponente de descarga de 2,5 (5/2) utilizado para los vertederos en forma de V.

Vertedero en forma de V: especificaciones 

Ángulo de V: introduzca el ángulo de V en grados.

Coeficiente de descarga: introduzca el coeficiente de descarga del vertedero. Se proporciona un valor por defecto de 0,59.

Elevación de rasante: la elevación de rasante del vertedero.