Vertedero

Salida de vertedero permite modelar un control de vertedero rectangular.

Especificación 

Anchura: introduzca el ancho del vertedero. Si está trabajando hasta alcanzar una descarga máxima permitida, se proporciona una Calculadora para ayudar a ajustar el tamaño del control. Esto proporciona dos parámetros adicionales:

Coeficiente de descarga: el coeficiente de descarga depende del tipo de vertedero o de canal elegido. Se proporciona un valor por defecto de 0,544, que suele ser adecuado para caudales que fluyen sobre diques, vertederos horizontales con cresta de punta redonda y canales rectangulares. Se pueden utilizar otros valores y, como en el caso de los demás controles, los valores de los coeficientes de descarga pueden encontrarse en cualquier referencia adecuada sobre estructuras de control hidráulico.

A continuación se ofrece una selección de los coeficientes más comunes.

Descripción

Coeficiente

Referencia

Un vertedero horizontal con cresta de punta redonda (o caudal sobre un dique)

0,544

British Standards Instn (1969)

Un vertedero de perfil rectangular

0,46

Ackers, White, Perkins, Harrision (1978)

British Standards Instn (1969)

Crabbe (1974)

Vertedero rectangular de placa fina con anchura completa b sin contracciones laterales

0,59

Ackers, White, Perkins, Harrision (1978)

British Standards Instn (1965)

Vertedero rectangular de placa fina con contracciones laterales.

0,56(b +.003)

Ackers, White, Perkins, Harrision (1978)

British Standards Instn (1965)

Elevación de cresta: la elevación de cresta del vertedero.

Cálculos

El Caudal de vertedero se calcula mediante la siguiente fórmula en condiciones de caudal libre:

donde

Q = Descarga

Cd = Coeficiente de descarga

b = Anchura de vertedero

g = aceleración debida a la gravedad (9,81 m²/s)

h = Profundidad del agua

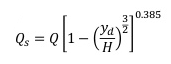
Cuando la elevación aguas abajo se encuentra por encima de la elevación de cresta, el software utiliza la ecuación de Villemonte para simular la naturaleza sumergida del caudal:

donde:

Qs = Velocidad de caudal sumergida

Q = Velocidad de caudal libre en H

Yd = Profundidad descendente

H = Profundidad de agua en el punto de medida

Nota: Exponente de descarga de 1,5 (3/2) utilizado para los vertederos rectangulares.

Encontrará más información en el Manual de referencia SWMM Volumen II - Hidráulica, disponible aquí.