Pluie chinoise

Pour la conception de conduits chinois, le règlement recommande la méthode rationnelle. Une formule d’intensité de pluie de même forme est donc utilisée pour toutes les villes :

Keifer & Chu (1957) définissent des précipitations types appelées précipitations de Chicago et expliquent comment générer des précipitations types à l’aide de cette formule d’intensité.

Remarque : Il est possible que cette méthode ne soit pas disponible pour votre région. Pour plus d’informations, reportez-vous à la section Régionalisation.

Paramètres

a

Constante d’équation utilisée dans le calcul de A lorsque le calcul de A est défini sur Calculé.

C

Constante d’équation utilisée dans le calcul de A lorsque le calcul de A est défini sur Calculé.

r

Portion de la durée de l’événement qui se produit avant le pic.

exemples de valeurs r :

Lieu

r (occurrences)

zone

r (occurrences)

Chicago

0,375 (83)

Pékin

0,355 (57)

Russie

0,35 (—)

Shanghai

0,367 (80)

Japon

0,50 (1 050)

Huabei

0,3-0,4 (483)

La plupart des villes chinoises

0,3-0,4 (—)

Wuhan

0,3-0,4 (—)

b

Constante d’équation définie par l’utilisateur.

n

Constante d’équation définie par l’utilisateur.

Période de retour

Période, en années, entre des événements de même intensité ou d’une plus grande intensité que cette pluie.

Augmentation de la pluie

Cette opération permet de mettre à l’échelle toutes les pluies selon la valeur spécifiée. Cette option permet de tenir compte du changement climatique ou d’autres facteurs.

Calcul de A

Sélectionnez la méthode de spécification de la valeur de A :

A (méthode Calculé)

A est calculé comme suit :

a(1 + Clog10P)

où P est la période de retour.

A (méthode Utilisateur)

Constante d’équation définie par l’utilisateur.

Calcul de l’intensité et des précipitations

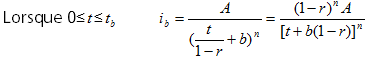
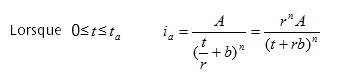
La durée des précipitations types est .

L’intensité instantanée avant le pic est , la durée correspondante est et la profondeur cumulée est .

L’intensité instantanée après le pic est , la durée correspondante est et la profondeur cumulée est .

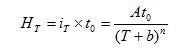
Hauteur de pluie totale : .

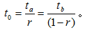
Si nous définissons , le rapport de période de pointe est r (valeur comprise entre 0 et 1), donc .

Supposons que la formule de densité est .

En Chine, A = a(1 + log10 P) où P est la période de retour et a est une constante.

Les intensités instantanées avant et après le pic sont :

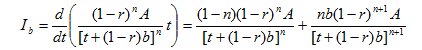
Les valeurs et sont donc calculées comme suit :

À partir des deux équations ci-dessus, la hauteur de pluie cumulée est générée et affichée ci-dessous :

Les précipitations cumulées sont calculées à l’aide des équations suivantes :

Référence aux précipitations de Chicago

C.J. Keifer, H.H. Chu, Synthetic Storm Pattern for Drainage Design, Proc. Paper 1332. ASCE, août 1957.

Durée des pluies

Un jeu de durées des pluies et de durées de simulation doit être spécifié pour que l’analyse s’exécute de manière consécutive. Vous pouvez modifier toutes les valeurs de durée et ajouter des lignes pour des durées supplémentaires.