Onde cinématique

Paramètres

Distance d’écoulement : longueur du chemin d’écoulement laminaire.

Pente du terrain : pente de la ligne de charge.

Intensité de l’événement : intensité de la pluie.

Coefficient de rugosité : valeur de rugosité de Horton.

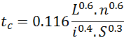
Calcul

où :

L = longueur de l’écoulement en surface (m)

S = pente moyenne du bassin versant (m/m)

i = intensité de pluie (mm/h)

n = rugosité de surface (similaire mais non identique à la valeur n de Manning)

Béton ou asphalte : 0,010 - 0,013

Sable nu : 0,010 - 0,016

Surface gravillonnée : 0,012 - 0,030

Sol limono-argileux nu (érodé) : 0,012 - 0,033

Végétation éparse : 0,053 - 0,130

Prairie d’herbe rase : 0,100 - 0,200

Pelouses : 0,170 : 0,480

 t= temps de concentration (h)