Déversoir triangulaire

Le déversoir triangulaire est calculé à l’aide de la formule suivante :

 

Cd = coefficient de débit

vang = angle interne de la valeur V (degrés)

g = accélération due à la gravité (9,81 m²/s)

H = hauteur de l’eau au-dessus du radier du déversoir

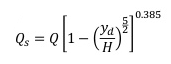
Lorsque le niveau en aval est supérieur au niveau de crête, le logiciel utilise l’équation de Villemonte pour simuler la nature submergée du débit :

où :

Qs = débit submergé

Q = débit libre à H

Yd = profondeur en aval

H = profondeur de l’eau au point de mesure

Remarque : Exposant de débit de 2,5 (5/2) utilisé pour les déversoirs rectangulaires.

Déversoir triangulaire : spécifications 

Angle d’ouverture du déversoir : indiquez l’angle d’ouverture du déversoir en degrés.

Coefficient de débit : indiquez le coefficient de débit du déversoir. La valeur par défaut est 0,59.

Niveau du radier : niveau du radier du déversoir.