Déversoir

Le point de sortie du déversoir permet de modéliser un contrôle de déversoir rectangulaire.

Spécification 

Largeur : indiquez la largeur du déversoir. Si vous travaillez à un débit maximum admissible, une calculatrice est fournie pour vous aider à dimensionner la technique alternative. Deux paramètres supplémentaires s’affichent :

Coefficient de débit : le coefficient de débit dépend du type de déversoir ou de jaugeur choisi. La valeur par défaut de 0,544 indiquée est généralement adaptée au débit sur une digue, des déversoirs à crête horizontaux à nez arrondi et des jaugeurs rectangulaires. Vous pouvez utiliser d’autres valeurs et, comme c’est le cas avec les autres techniques alternatives, vous trouverez des valeurs de coefficient de vidange dans toute référence fiable sur les structures de contrôle hydrauliques.

Voici certains coefficients parmi les plus courants.

Description

Coefficient

Référence

Déversoir horizontal à nez arrondi (ou débit sur une digue)

0,544

British Standards Institution (1969)

Déversoir au profil rectangulaire

0,46

Ackers, White, Perkins, Harrision (1978)

British Standards Institution (1969)

Crabbe (1974)

Déversoir rectangulaire en mince paroi pleine largeur b sans contraction latérale

0,59

Ackers, White, Perkins, Harrision (1978)

British Standards Institution (1965)

Déversoir rectangulaire en mince paroi sans contraction latérale

0,56(b + 0,003)

Ackers, White, Perkins, Harrision (1978)

British Standards Institution (1965)

Niveau de crête : niveau de crête du déversoir.

Calculs

Le débit du déversoir est calculé à l’aide de la formule suivante dans des conditions d’écoulement libre :

Q = débit

Cd = coefficient de débit

b = largeur du déversoir

g = accélération due à la gravité (9,81 m²/s)

h = profondeur de l’eau

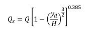
Lorsque le niveau en aval est supérieur au niveau de crête, le logiciel utilise l’équation de Villemonte pour simuler la nature submergée du débit :

où :

Qs = débit submergé

Q = débit libre à H

Yd = profondeur en aval

H = profondeur de l’eau au point de mesure

Remarque : Exposant de débit de 1,5 (3/2) utilisé pour les déversoirs rectangulaires.

Pour en savoir plus, reportez-vous au manuel de référence SWMM Volume II - Hydraulics, disponible ici.