Le sollecitazioni possono essere calcolate in base ad un insieme di assi che differiscono dalle direzioni X, Y e Z globali. È possibile ruotare il sistema di coordinate in modo che rimangano solo le sollecitazioni normali e che tutte le sollecitazioni di taglio siano pari a zero. In questo orientamento, il vettore normale di una superficie e il vettore di sollecitazione che agisce su tale superficie sono collineari. La direzione del vettore normale è chiamata quindi la direzione di sollecitazione principale. L'intensità del vettore di sollecitazione sulla superficie viene detto valore di sollecitazione principale. Esistono tre valori di sollecitazione principali: Prima, Seconda e Terza sollecitazione principale. Questi valori sono spesso chiamati rispettivamente sollecitazione principale Massima, Intermedia e Minima.
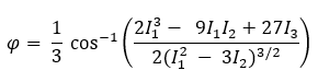
Le equazioni matematiche per determinare le sollecitazioni principali (σ1 e σ3) sono più complesse della precedente equazione di sollecitazione di von Mises. È necessario innanzitutto determinare l'angolo di rotazione (φ), in radianti, tra gli assi globale e principale:

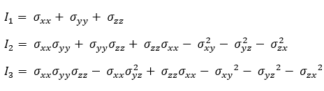
dove I1, I2 e I3 sono invarianti di sollecitazione determinate dalle seguenti equazioni:

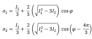
Infine, la prima e la terza sollecitazione principale sono determinate dalle seguenti equazioni:
