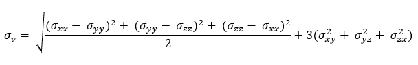
Un metodo comune per esprimere i componenti di sollecitazione del tensore multidirezionale consiste nel combinarli in un'intensità di sollecitazione equivalente. Questa sollecitazione equivalente è nota anche come sollecitazione di von Mises (σv). La seguente equazione mostra in che modo vengono combinati i sei tensori (σxx, σyz, e così via) per produrre la sollecitazione di von Mises. Questa equazione è applicabile ai materiali isotropi caricati nel rispettivo intervallo elastico. Un materiale isotropo ha lo stesso modulo di elasticità e lo stesso coefficiente di Poisson per i carichi applicati in qualsiasi direzione. Il coefficiente di Poisson è una misura della quantità di deformazione laterale di un materiale quando è sottoposto a sollecitazione assiale.
