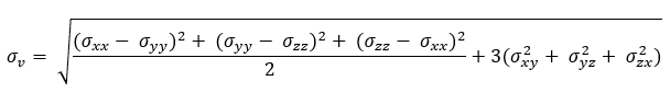
Uma forma comum de expressar os componentes de tensão do tensor multidirecional é combiná-los em uma magnitude de tensão equivalente. Esta tensão equivalente também é conhecida como tensão de Von Mises (σ v). A equação a seguir mostra como os seis tensores (σ xx, σ yz e assim por diante) são combinados para produzir a tensão de Von Mises. Esta equação é aplicável aos materiais isotrópicos carregados dentro de seu intervalo elástico. Um material isotrópico tem o mesmo módulo de elasticidade e coeficiente de Poisson para cargas aplicadas em qualquer direção. A relação de Poisson é uma medida do quanto um material deforma lateralmente quando estressado axialmente.
