3D generic shrinkage model
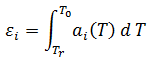
This model approximates the linear shrinkage using the formulation:

where
is the linear thermal expansion coefficient (CTE) at temperature T in the i-th principal direction. The temperature-dependent CTE
i is considered, using a special PVT-scaled approach.- T0 is the temperature when the local cavity pressure reached the atmospheric condition. This value is obtained from the flow simulation.
- Tr is the room temperature.
