Share

Coolant viscosity model

The viscosity, flow rate, and Reynolds number of a coolant are interrelated.

The coolant viscosity model is given by the following equation:

where:

  • is the viscosity (Pa.sec.)
  • is the coolant temperature (K)
  • is a data-fitted coefficent (Pa.sec)
  • , and are data-fitted coefficients (K)
  • is equivalent to 273.15 K

Flow rate, Reynolds number, and viscosity

The relationship between flow rate and viscosity can be derived from the theory of incompressible viscous flow through pipes, beginning with the Darcy-Weisbach formula:

where:

  • is the head loss, which is equivalent to , the pressure drop in the pipe divided by the density of the fluid times the gravity constant
  • is the friction factor
  • is the length of the pipe
  • is the diameter of the pipe
  • is the average flow velocity, which is equivalent to , the flow rate divided by the cross-sectional area of the pipe

Substituting for and as above, we get:

The friction factor, , in the above equation is related to the Reynolds number, , as follows for lower Reynolds numbers where :

For the higher range, where the Reynolds number is given by , the friction factor is where

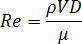
The Reynolds number is related to the viscosity, , by the following equation:

Was this information helpful?